California
Local County
San Bernardino
Traffic
Last updated: 1/12/2022
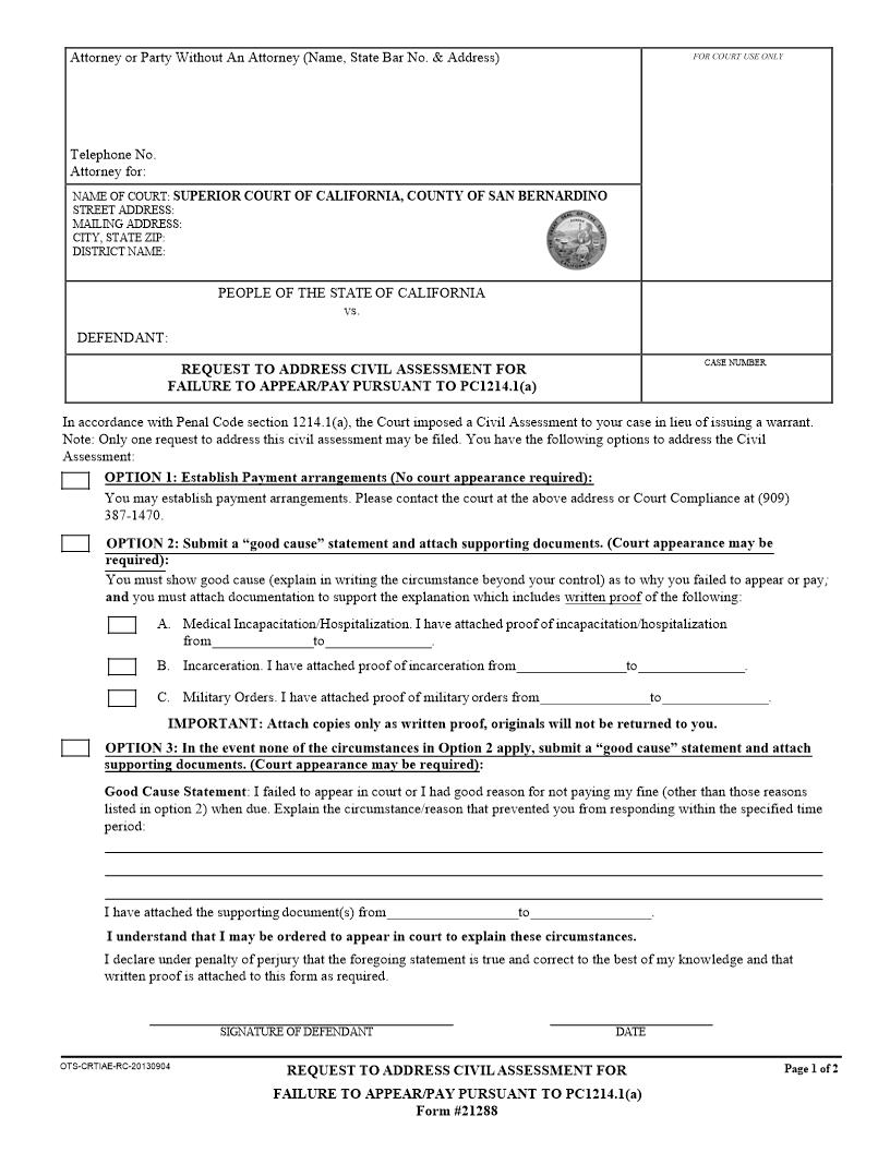
Request To Address Civil Assessment For Failure To Appear {21288}
Start Your Free Trial $ 13.99What you get:
- Instant access to fillable Microsoft Word or PDF forms.
- Minimize the risk of using outdated forms and eliminate rejected fillings.
- Largest forms database in the USA with more than 80,000 federal, state and agency forms.
- Download, edit, auto-fill multiple forms at once in MS Word using our Forms Workflow Ribbon
- Trusted by 1,000s of Attorneys and Legal Professionals
Description
21288 - REQUEST TO ADDRESS CIVIL ASSESSMENT FOR FAILURE TO APPEAR/PAY PURSUANT TO PC1214.1(a) . www.FormsWorkflow.com
Related forms
Our Products





