Last updated: 4/22/2022
Adult Conservatorship Packet
Start Your Free Trial $ 26.00What you get:
- Instant access to fillable Microsoft Word or PDF forms.
- Minimize the risk of using outdated forms and eliminate rejected fillings.
- Largest forms database in the USA with more than 80,000 federal, state and agency forms.
- Download, edit, auto-fill multiple forms at once in MS Word using our Forms Workflow Ribbon
- Trusted by 1,000s of Attorneys and Legal Professionals
Description
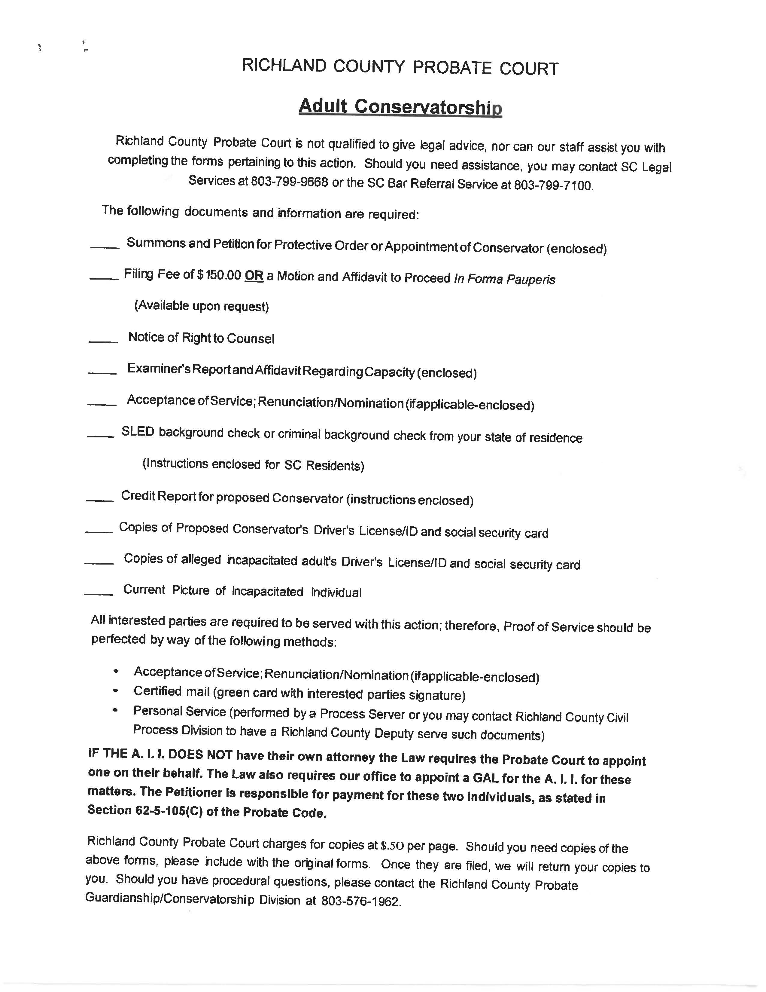
ADULT CONSERVATORSHIP (PACKET). This packet of forms is used to begin the legal process for adult conservatorship in Richland County Probate Court, where a conservator is appointed to manage the financial affairs of an incapacitated adult. The required forms include a summons and petition for a protective order or conservator appointment, with a $150 filing fee or a request to proceed without payment. Additional required documents include a notice of right to counsel, a medical examiner's report on the individual's capacity, background checks, credit reports, and identification documents for both the proposed conservator and the incapacitated person. Proof of service to all interested parties is required, and service can be done through acceptance of service, certified mail, or personal delivery. If the incapacitated individual does not have an attorney, the court must appoint one, as well as a Guardian ad Litem (GAL), with the petitioner responsible for their payment. www.FormsWorkflow.com





