Last updated: 10/27/2021
Instructions For Motion For Emergency Relief And Hearing {512GC}
Start Your Free Trial $ 15.99What you get:
- Instant access to fillable Microsoft Word or PDF forms.
- Minimize the risk of using outdated forms and eliminate rejected fillings.
- Largest forms database in the USA with more than 80,000 federal, state and agency forms.
- Download, edit, auto-fill multiple forms at once in MS Word using our Forms Workflow Ribbon
- Trusted by 1,000s of Attorneys and Legal Professionals
Description
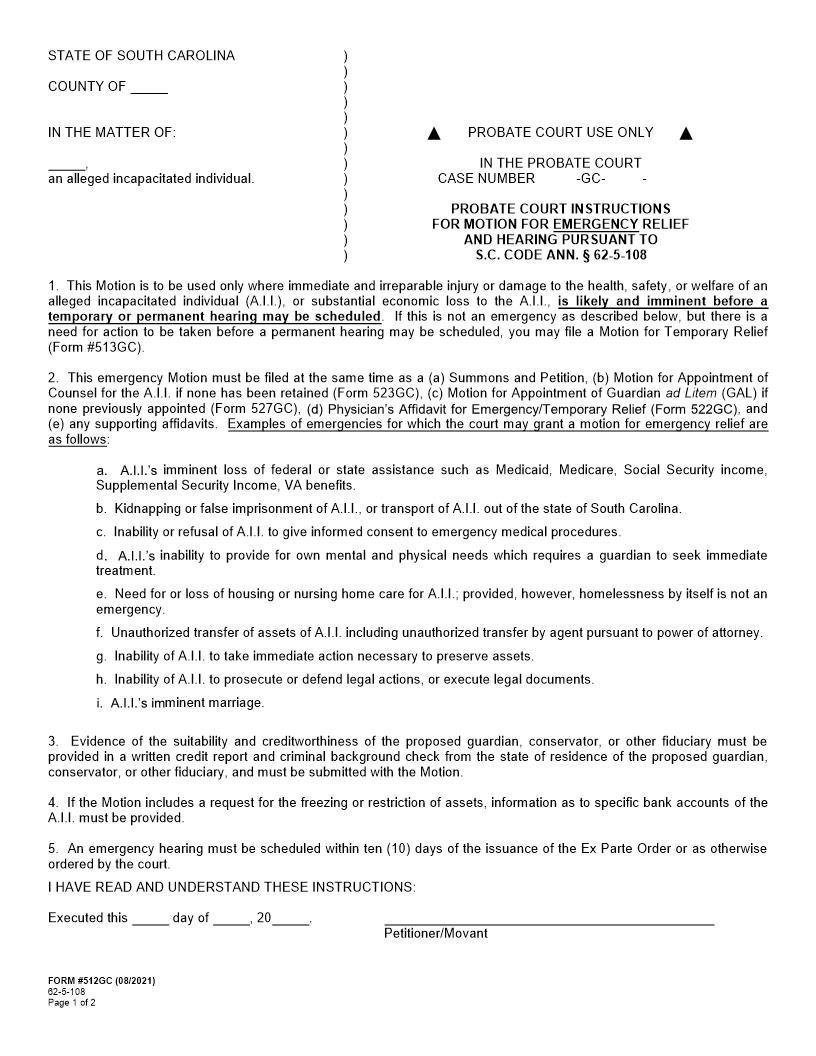
FORM #512GC (01/2019) 62-5-108 Page of 3 STATE OF SOUTH CAROLINA ) ) COUNTY OF ) ) ) IN THE MATTER OF: ) PROBATE COURT USE ONLY , ) ) IN THE PROBATE COURT an alleged incapacitated individual. ) ) CASE NUMBER - GC - - ) PROBATE COURT INSTRUCTIONS ) FOR MOTION FOR EMERGENCY RELIEF ) AND HEARING PURSUANT TO ) S.C. CODE ANN. 247 62 - 5 - 108 1. This Motion is to be used only where immediate and irreparable injury or damage to the health, safety, or welfare of an alleged incapacitated individual (A.I.I.), or substantial economic loss to the A.I.I., is likely and imminent before a temporary or permanent hearing may be scheduled. If this is not an emergency as described below, but there is a need for action to be taken before a permanent hearing may be scheduled, please use Form #513GC and follow the Instructions on page 1 of that form. 2. The emergency Motion must be filed at the same time as a (a) Summons and Petition, (b) Motion and Order for Appointment of an Attorney if none retained, and (c) Motion and Order for Appointment of Guardian ad Litem (GAL) if none previously appointed. Examples of emergencies for which the court may accept a motion for emergency relief are as follows: imminent loss of federal or state assistance such as Medicaid, Medicare, Social Security income, Supplemental Security Income, VA benefits. b. Kidnapping or false imprisonment of A.I.I., or transport of A.I.I. out of the state of South Carolina. c. Inability or refusal of A.I.I. to give informed consent to emergency medical procedures. dinability to provide for own mental and physical needs which requires a guardian to seek immediate treatment. e. Need for or loss of housing or nursing home care for A.I.I.; provided, however, homelessness by itself is not an emergency. f. Unauthorized transfer of assets of A.I.I. including unauthorized transfer by agent pursuant to power of attorney. g. Inability of A.I.I. to take immediate action necessary to preserve assets. h. Inability of A.I.I. to prosecute or defend legal actions, or execute legal documents. marriage. 3. Evidence of the suitability and creditworthiness of the proposed guardian, conservator, or other fiduciary must be provided in a written credit report and criminal background check from the state of residence of the proposed guardian, conservator, or other fiduciary, and must be submitted with the Motion. 4. If the Motion includes a request for the freezing or restriction of assets, information as to specific bank accounts of the A.I.I. must be provided. 5. An emergency hearing must be scheduled within ten (10) days of the issuance of the Ex Parte Order or as otherwise ordered by the court. I HAVE READ AND UNDERSTAND THESE INSTRUCTIONS: Executed this day of , 20 . Petitioner/Movant American LegalNet, Inc. www.FormsWorkFlow.com FORM #512GC (01/2019) 62-5-108 Page of 3 STATE OF SOUTH CAROLINA ) ) COUNTY OF ) ) IN THE MATTER OF: ) , ) an alleged incapacitated individual. ) ) PROBATE COURT USE ONLY ) ) IN THE PROBATE COURT , ) CASE NUMBER - GC - - Petitioner(s), ) vs. ) NOTICE OF AND MOTION FOR , ) EMERGENCY RELIEF AND HEARING Respondent(s). ) I move for emergency relief to protect the welfare or assets of , an alleged incapacitated individual (A.I.I.), and request a hearing on , 20, at a.m./p.m., or at such date and time as the Court orders, for: Appointment of emergency guardian, conservator, or other fiduciary. Removal of existing guardian, conservator, or other fiduciary, and appointment of a successor. Appointment or removal of Guardian ad Litem. An emergency protective order. Immediate and irreparable injury, loss, or damage will result before notice can be served on adverse parties and a hearing held pursuant to S.C. Code Ann. 247 62-5-108(B) as shown by the following facts: If an emergency guardianship or protective order related to the welfare of the A.I.I. is requested, a affidavit dated within the last thirty (30) days is attached. Executed this day of , 20. Signature: Print Name: Address: Preferred Telephone: Secondary Telephone: Email: Relationship to the a lleged incapacitated individual : Attorney Signature: Print Name: Firm Name: Bar Number: Address: Telephone: Email: Attorney for: American LegalNet, Inc. www.FormsWorkFlow.com FORM #512GC (01/2019) 62-5-108 Page of 3 STATE OF SOUTH CAROLINA ) COUNTY OF ) ) IN THE MATTER OF: ) , ) an alleged incapacitated individual. ) ) PROBATE COURT USE ONLY ) ) IN THE PROBATE COURT , ) CASE NUMBER - GC - - Petitioner(s), ) vs. ) EX PARTE ORDER FOR , ) EMERGENCY RELIEF AND Respondent(s). ) NOTICE OF HEARING The Court has jurisdiction over the parties and subject matter, and venue is proper. affidavit filed with the Court and the factual allegations made, the request for emergency order and hearing is granted; denied. If granted, pending the emergency hearing IT IS ORDERED: 1. The physical welfare of the alleged incapacitated individual (A.I.I.) requires emergency relief as follows: is appointed Guardian with all of the rights and duties in S.C. Code Ann. 247 62-5-304A(B); is appointed Limited Guardian to make decisions about the custody and residence; consent to medical or other professional care, counsel, treatment, or service, access medical records; and/or other:. 2. The assets of the A.I.I. require emergency protection as follows: is appointed Conservator with all of the rights and duties in S.C. Code Ann. 247 62-5-422(A); is appointed Limited Conservator to have access to the A.I.I.provided, however, if this box is checked no disbursements may be made without written court approval; apply for, receive and manage money and property with the exception of ; institute and maintain proceedings to protect money and property; other:. 3. is appointed Guardian ad Litem with all of the rights and duties in S.C. Code Ann. 247 62-5-106. 4. a Protective Order is entered as follows: . 5. A fiduciary bond in the amount of $ is required. NOTICE OF EMERGENCY HEARING Date: Time: Place: Petitioner shall serve this Order and Notice of Emergency Hearing on the A.I.I., the attorney and GAL for the A.I.I., and adverse parties immediately after issuance. , Judge of Probate Executed this day of , 20. , South Carolina American LegalNet, Inc. www.FormsWorkFlow.com
Related forms
-
Guardian Report
South Carolina/Statewide/Probate Court/ -
Annual Report Of Tangible And Real Estate
South Carolina/Statewide/Probate Court/ -
Conservator Annual Accounting (Cover Form)
South Carolina/Statewide/Probate Court/ -
Conservator Annual Accounting (Short Form)
South Carolina/Statewide/Probate Court/ -
Conservatorship Annual Accounting (Long Form)
South Carolina/Statewide/Probate Court/ -
Doctors Affidavit Regarding Capacity
South Carolina/Statewide/Probate Court/ -
Examiners Report
South Carolina/Statewide/Probate Court/ -
Inventory And Appraisement
South Carolina/Statewide/Probate Court/ -
Petition For Appointment Of Successor Custodian
South Carolina/Statewide/Probate Court/ -
Guidelines For Reports By Appointed Examiner
South Carolina/Statewide/Probate Court/ -
Proof Of Delivery
South Carolina/Statewide/Probate Court/ -
Trustee Information
South Carolina/Statewide/Probate Court/ -
Certification Of Completion Of Premarital Preperation Course
South Carolina/Statewide/Probate Court/ -
Summons
South Carolina/Statewide/Probate Court/ -
Accounting (Mandatory)
South Carolina/Statewide/Probate Court/ -
Additional Signature Page For Informal Administration
South Carolina/Statewide/Probate Court/ -
Affidavit For Collection Of Personal Property Pursuant To Small Estate Proceedings
South Carolina/Statewide/Probate Court/ -
Affidavit Of Adeemed Or Abated Property (Personal Representative)
South Carolina/Statewide/Probate Court/ -
Affidavit Of Distribution For Personal Property
South Carolina/Statewide/Probate Court/ -
Affidavit Of Due Diligence
South Carolina/Statewide/Probate Court/ -
Affidavit Of Heirs
South Carolina/Statewide/Probate Court/ -
Affidavit To Obtain Bank Balance
South Carolina/Statewide/Probate Court/ -
Application For Appointment Of Appraiser(s)
South Carolina/Statewide/Probate Court/ -
Application For Approval Of Compromise
South Carolina/Statewide/Probate Court/ -
Application For Restraint Or Performance Of Personal Representative
South Carolina/Statewide/Probate Court/ -
Application For Sale Of Personal Property
South Carolina/Statewide/Probate Court/ -
Application For Settlement
South Carolina/Statewide/Probate Court/ -
Application For Settlement And Accounting Of Subsequent Administration
South Carolina/Statewide/Probate Court/ -
Application To Alter Amount Of Bond
South Carolina/Statewide/Probate Court/ -
Application-Petition For Appointment Of Special Administrator
South Carolina/Statewide/Probate Court/ -
Application-Petition For Subsequent Administration
South Carolina/Statewide/Probate Court/ -
Application-Petition For Successor Personal Representative
South Carolina/Statewide/Probate Court/ -
Appointment Of Agent For Service Of Process
South Carolina/Statewide/Probate Court/ -
Closing Agreement
South Carolina/Statewide/Probate Court/ -
Deed Of Distribution
South Carolina/Statewide/Probate Court/ -
Demand For Bond
South Carolina/Statewide/Probate Court/ -
Demand For Hearing (Estates)
South Carolina/Statewide/Probate Court/ -
Demand For Non-Probate Property Inventory
South Carolina/Statewide/Probate Court/ -
Filing Of Disclaimer For Record
South Carolina/Statewide/Probate Court/ -
Filing Of Will For Record
South Carolina/Statewide/Probate Court/ -
Information To Heirs And Devisees
South Carolina/Statewide/Probate Court/ -
Inventory And Appraisement LF (Mandatory)
South Carolina/Statewide/Probate Court/ -
Inventory And Appraisement SF (Mandatory)
South Carolina/Statewide/Probate Court/ -
Inventory And Appraisement SF-Continuation Sheet
South Carolina/Statewide/Probate Court/ -
Motion For Extension
South Carolina/Statewide/Probate Court/ -
Motion For Removal
South Carolina/Statewide/Probate Court/ -
Motion For Service By Publication
South Carolina/Statewide/Probate Court/ -
Motion For Transfer Of Venue
South Carolina/Statewide/Probate Court/ -
Motion To Be Relieved As Counsel
South Carolina/Statewide/Probate Court/ -
Notice Of
South Carolina/Statewide/Probate Court/ -
Notice Of Allowance-Disallowance Of Claim
South Carolina/Statewide/Probate Court/ -
Notice Of Correction
South Carolina/Statewide/Probate Court/ -
Notice Of Hearing
South Carolina/Statewide/Probate Court/ -
Notice Of Intent To Appeal
South Carolina/Statewide/Probate Court/ -
Notice Of Right To Demand Hearing
South Carolina/Statewide/Probate Court/ -
Notice To Creditors
South Carolina/Statewide/Probate Court/ -
Petition For Transfer Of Guardianship-Adult Conservatorship From SC-Receiving State
South Carolina/Statewide/Probate Court/ -
Petition For Administration Under Part 5
South Carolina/Statewide/Probate Court/ -
Petition for Determination Of Apportionment Of Taxes
South Carolina/Statewide/Probate Court/ -
Petition For Elective Share
South Carolina/Statewide/Probate Court/ -
Petition For Omitted Child
South Carolina/Statewide/Probate Court/ -
Petition For Omitted Spouse
South Carolina/Statewide/Probate Court/ -
Petition For Removal Of Personal Representative
South Carolina/Statewide/Probate Court/ -
Petition For Review Of Employment-Compensation
South Carolina/Statewide/Probate Court/ -
Petition For Sale Of Real Estate
South Carolina/Statewide/Probate Court/ -
Petition To Deny Or Limit Inheritance
South Carolina/Statewide/Probate Court/ -
Proof Of Delivery For Non-Probate Property Inventory
South Carolina/Statewide/Probate Court/ -
Proposal For Distribution
South Carolina/Statewide/Probate Court/ -
Receipt
South Carolina/Statewide/Probate Court/ -
Receipt And Release With Waiver
South Carolina/Statewide/Probate Court/ -
Release-Satisfaction Of Claim
South Carolina/Statewide/Probate Court/ -
Renunciation Of Fee
South Carolina/Statewide/Probate Court/ -
Renunciation Of Right To Administration And-Or Nomination
South Carolina/Statewide/Probate Court/ -
Safe Deposit Affidavit
South Carolina/Statewide/Probate Court/ -
Statement Of Creditors Claim (Mandatory)
South Carolina/Statewide/Probate Court/ -
Statement Of Resignation
South Carolina/Statewide/Probate Court/ -
Statement Of Value And Income For Purposes Of Bond
South Carolina/Statewide/Probate Court/ -
Subsequent Administration Inventory
South Carolina/Statewide/Probate Court/ -
Verified Statement To Close Estate (62-3-1204)
South Carolina/Statewide/Probate Court/ -
Waiver Of Bond
South Carolina/Statewide/Probate Court/ -
Waiver Of Filing Requirements
South Carolina/Statewide/Probate Court/ -
Written Notice To Creditors
South Carolina/Statewide/Probate Court/ -
Fiduciary Bond
South Carolina/Statewide/Probate Court/ -
Confidential Reference List of Redacted Identifiers (Probate Court)
South Carolina/Statewide/Probate Court/ -
Additional Devisees-Heirs-Successors
South Carolina/Statewide/Probate Court/ -
Conservatorship Receipt
South Carolina/Statewide/Probate Court/ -
Order For Appointment Of Guardian Ad Litem (GAL)
South Carolina/Statewide/Probate Court/ -
Petition For Allowance Of Claim
South Carolina/Statewide/Probate Court/ -
Order For Petition For Allowance Of Claim
South Carolina/Statewide/Probate Court/ -
Waiver For Notice In An Estate
South Carolina/Statewide/Probate Court/ -
Demand For Notice In An Estate
South Carolina/Statewide/Probate Court/ -
Waiver Of Statutory Requirements And Beneficiary Receipt-Release
South Carolina/Statewide/Probate Court/ -
Accounting Of Use Of Deceased Wards Funds
South Carolina/Statewide/Probate Court/ -
Affidavit Of Conservator Regarding Bond
South Carolina/Statewide/Probate Court/ -
Application For Registration And Recognition Of Guardianship And-Or Conservatorship Order(s)
South Carolina/Statewide/Probate Court/ -
Application For Use Of Deceased Wards Funds
South Carolina/Statewide/Probate Court/ -
Conservator Contract
South Carolina/Statewide/Probate Court/ -
Conservator Report-Long Form
South Carolina/Statewide/Probate Court/ -
Conservator Report-Short Form
South Carolina/Statewide/Probate Court/ -
Demand For Notice Of Hearing In A Guardianship Conservatorship
South Carolina/Statewide/Probate Court/ -
Financial Plan Of Conservator
South Carolina/Statewide/Probate Court/ -
Motion To Be Relieved As Counsel For Alleged Incapacitated Individual
South Carolina/Statewide/Probate Court/ -
Notice Of Appearance
South Carolina/Statewide/Probate Court/ -
Notice Of Right To Counsel
South Carolina/Statewide/Probate Court/ -
Order Appointing Examiner
South Carolina/Statewide/Probate Court/ -
Order Appointing Guardian Ad Litem For Emergency Or Temporary Proceedings
South Carolina/Statewide/Probate Court/ -
Physicians Affidavit For Emergency Or Temporary Proceedings
South Carolina/Statewide/Probate Court/ -
Plan Of Care For Ward
South Carolina/Statewide/Probate Court/ -
Guidelines For Preparing Financial Plan Of Conservator
South Carolina/Statewide/Probate Court/ -
Release-Satisfaction Of Claim
South Carolina/Statewide/Probate Court/ -
Special Power Of Attorney Delegating Powers Of Guardian
South Carolina/Statewide/Probate Court/ -
Statement Of Creditors Claim
South Carolina/Statewide/Probate Court/ -
Petition Requesting South Carolina Accept Guardianship Conservatorship From Sending State (Mandatory)
South Carolina/Statewide/Probate Court/ -
Summons And Petition For Allowance Of Claim
South Carolina/Statewide/Probate Court/ -
Waiver Of Notice
South Carolina/Statewide/Probate Court/ -
Probate Application (Mandatory)
South Carolina/Statewide/Probate Court/ -
Instructions For Motion For Emergency Relief And Hearing
South Carolina/Statewide/Probate Court/ -
Notice Of And Motion For Temporary Relief
South Carolina/Statewide/Probate Court/ -
Summons (And Petition For Appointment Of Guardian And Conservator)
South Carolina/Statewide/Probate Court/ -
Motion And Order For Appointment Of Counsel For Emergency
South Carolina/Statewide/Probate Court/ -
Motion And Order For Appointment Of Guardian Ad Litem
South Carolina/Statewide/Probate Court/ -
Summons And Petition For Appointment Of Guardian
South Carolina/Statewide/Probate Court/ -
Guardian Ad Litem Report
South Carolina/Statewide/Probate Court/ -
Summons (And Petition For Appointment Of Conservator)
South Carolina/Statewide/Probate Court/ -
Application (Informal)-Petition (Formal) For Protective Order And-Or Appointment Of Conservator
South Carolina/Statewide/Probate Court/ -
Renunciation-Nomination For Guardian And-Or Conservator Acceptance Of Service
South Carolina/Statewide/Probate Court/ -
Application For Expenditure(s)
South Carolina/Statewide/Probate Court/ -
Notice Of Allowance-Disallowance Of Claim
South Carolina/Statewide/Probate Court/ -
Conservator Report For A Minor
South Carolina/Statewide/Probate Court/ -
Summons And Petition For Formal Relief
South Carolina/Statewide/Probate Court/ -
Application For Relief (Guardianship)
South Carolina/Statewide/Probate Court/ -
Application For Relief (Conservatorship)
South Carolina/Statewide/Probate Court/ -
Petition To Sale Real Property
South Carolina/1 Statewide/Probate Court/ -
Motion For Transfer Of Venue
South Carolina/1 Statewide/Probate Court/ -
Motion For Extension
South Carolina/1 Statewide/Probate Court/ -
Examiner Report And Affidavit Regarding Capacity
South Carolina/Statewide/Probate Court/ -
Notice Of Correction
South Carolina/Statewide/Probate Court/ -
Probate Rule 5-Proof Of ADR
South Carolina/Statewide/Probate Court/ -
Waiver By Alleged Incapacitated Individual
South Carolina/Statewide/Probate Court/
Form Preview
Contact Us
Success: Your message was sent.
Thank you!




