Last updated: 9/8/2021
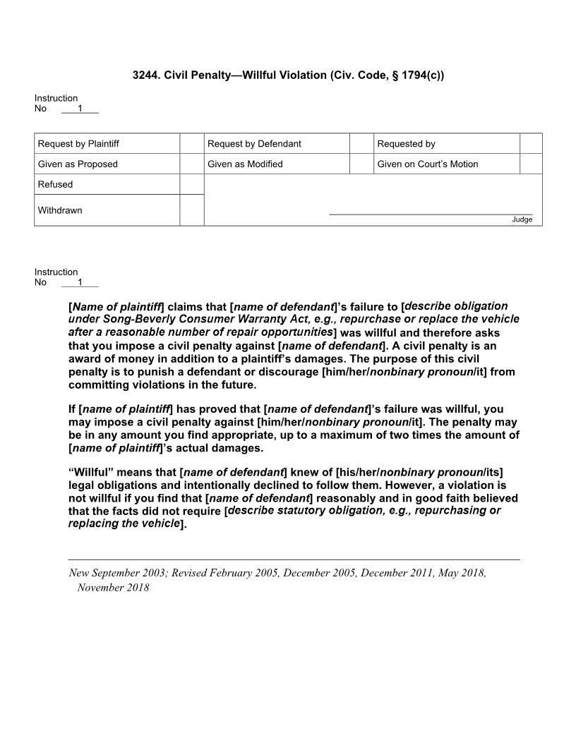
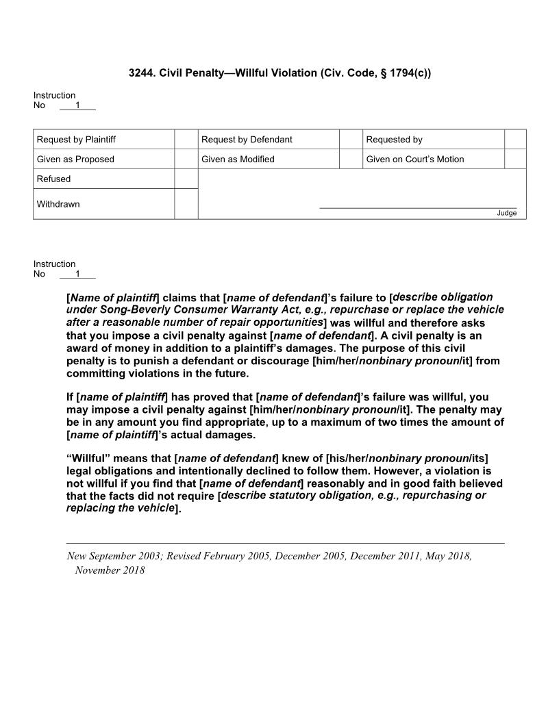
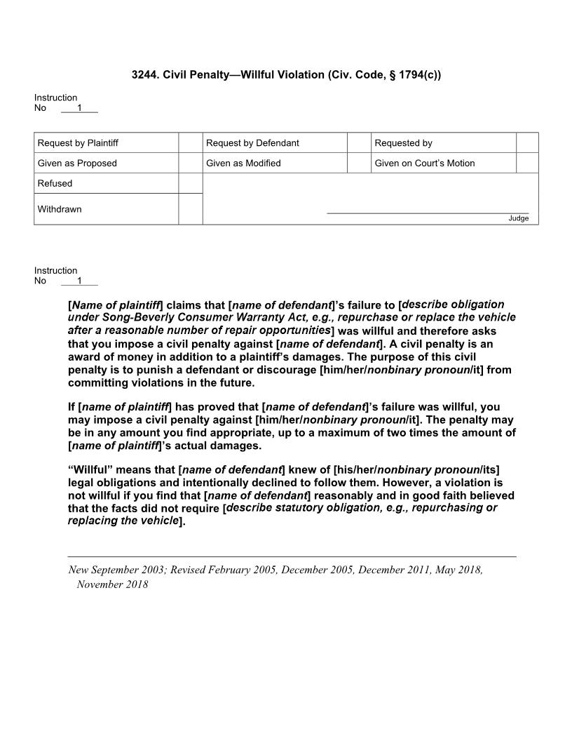
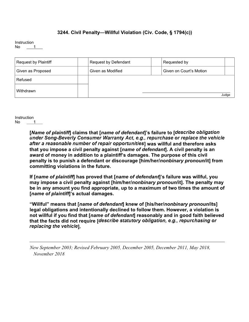
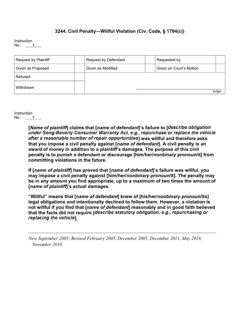
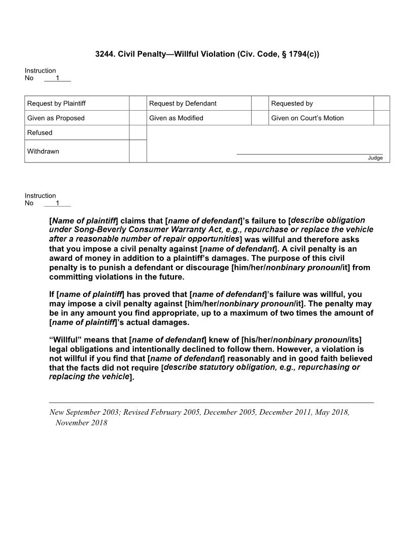
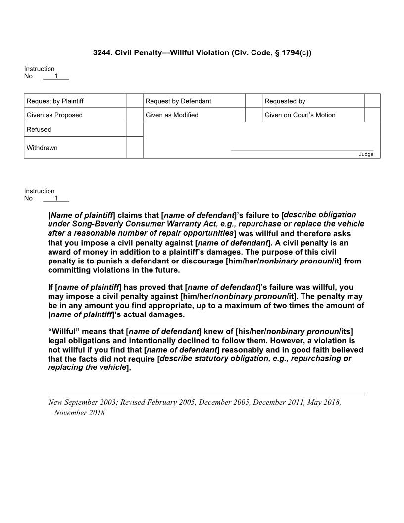
3244. Civil Penalty Willful Violation (Civ. Code, § 1794(c))
Start Your Free Trial $ 13.99What you get:
- Instant access to fillable Microsoft Word or PDF forms.
- Minimize the risk of using outdated forms and eliminate rejected fillings.
- Largest forms database in the USA with more than 80,000 federal, state and agency forms.
- Download, edit, auto-fill multiple forms at once in MS Word using our Forms Workflow Ribbon
- Trusted by 1,000s of Attorneys and Legal Professionals
Description
3244. Civil Penalty--Willful Violation (Civ. Code, § 1794(c)) Instruction No 1 Request by Plaintiff Given as Proposed Refused Withdrawn Request by Defendant Given as Modified Requested by Given on Court's Motion Judge Instruction No 1 [Name of plaintiff] claims that [name of defendant]'s failure to [describe violation of Song-Beverly Consumer Warranty Act, e.g., repurchase or replace the vehicle after a reasonable number of repair opportunities] was willful and therefore asks that you impose a civil penalty against [name of defendant]. A civil penalty is an award of money in addition to a plaintiff's damages. The purpose of this civil penalty is to punish a defendant or discourage [him/her/it] from committing such violations in the future. If [name of plaintiff] has proved that [name of defendant]'s failure was willful, you may impose a civil penalty against [him/her/it]. "Willful" means that [name of defendant] knew what [he/she/it] was doing and intended to do it. However, you may not impose a civil penalty if you find that [name of defendant] believed reasonably and in good faith that [describe facts negating statutory obligation]. The penalty may be in any amount you find appropriate, up to a maximum of two times the amount of [name of plaintiff]'s actual damages. ________________________________________________________________________________ New September 2003; Revised February 2005, December 2005, December 2011





