Last updated: 9/24/2021
Annual Guardianship Plan (Person With Developmental Disability)
Start Your Free Trial $ 16.00What you get:
- Instant access to fillable Microsoft Word or PDF forms.
- Minimize the risk of using outdated forms and eliminate rejected fillings.
- Largest forms database in the USA with more than 80,000 federal, state and agency forms.
- Download, edit, auto-fill multiple forms at once in MS Word using our Forms Workflow Ribbon
- Trusted by 1,000s of Attorneys and Legal Professionals
Description
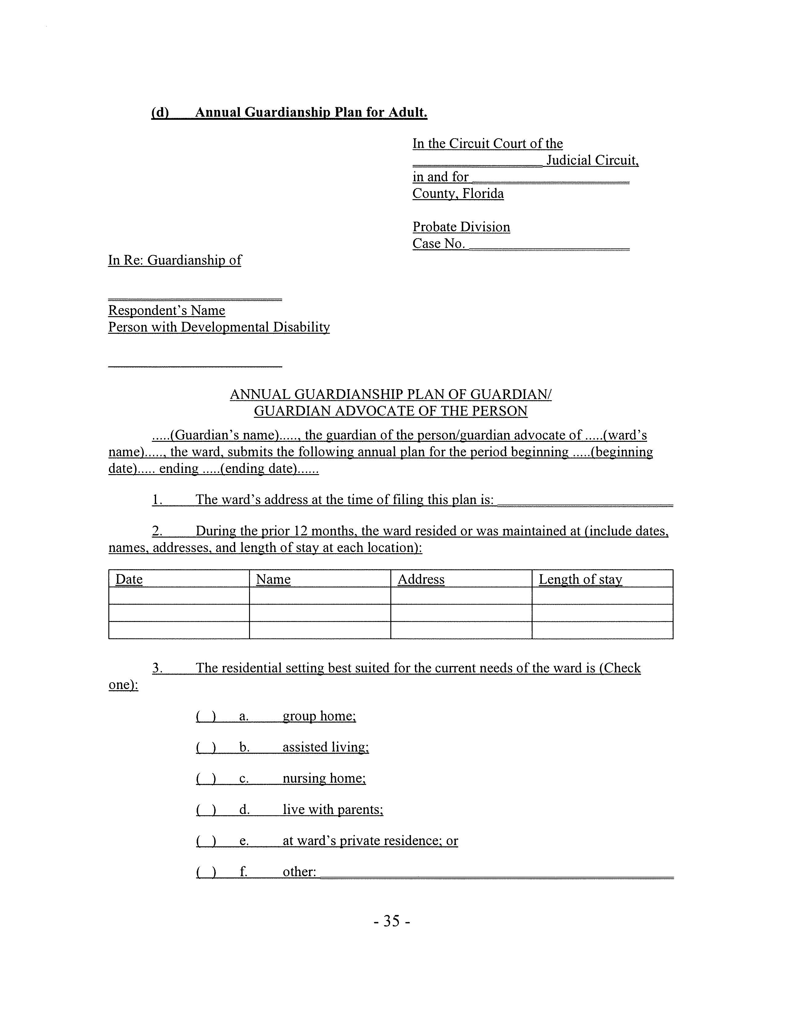
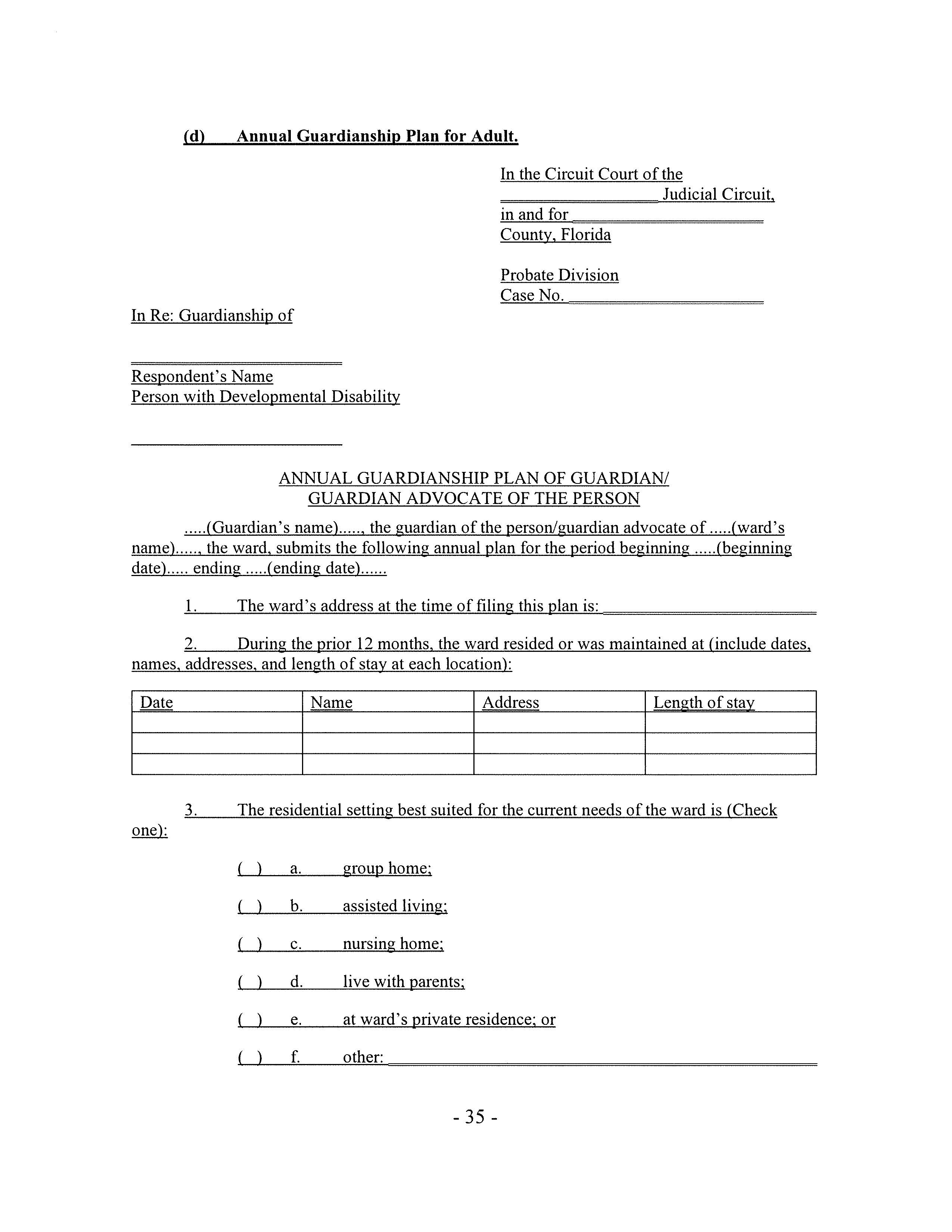
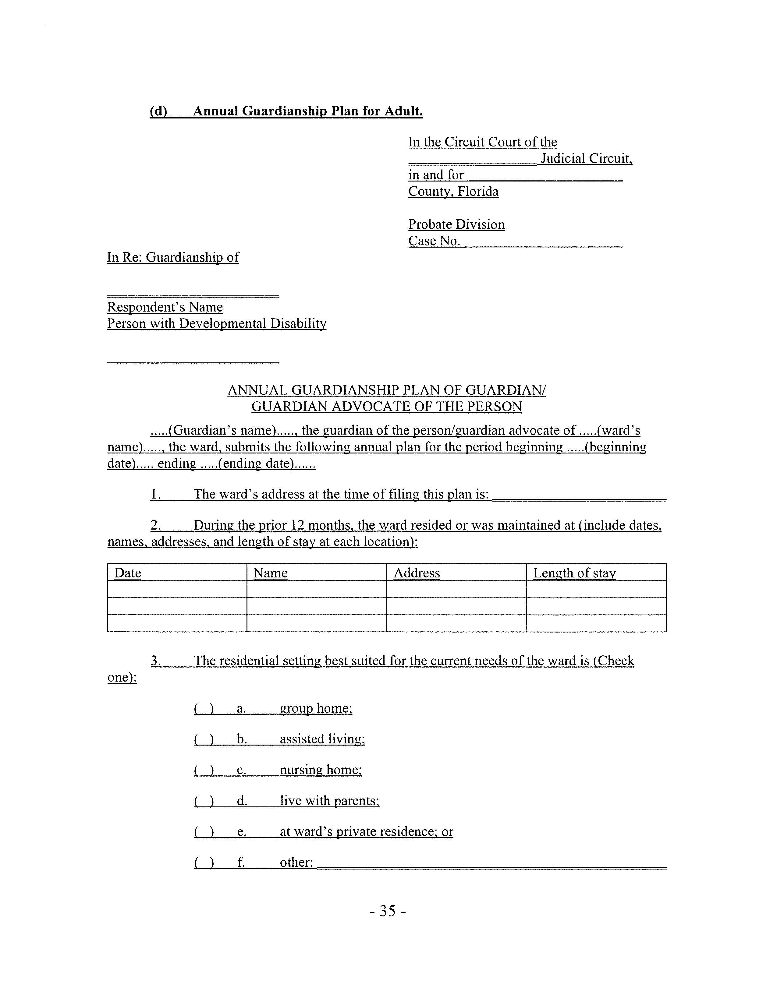
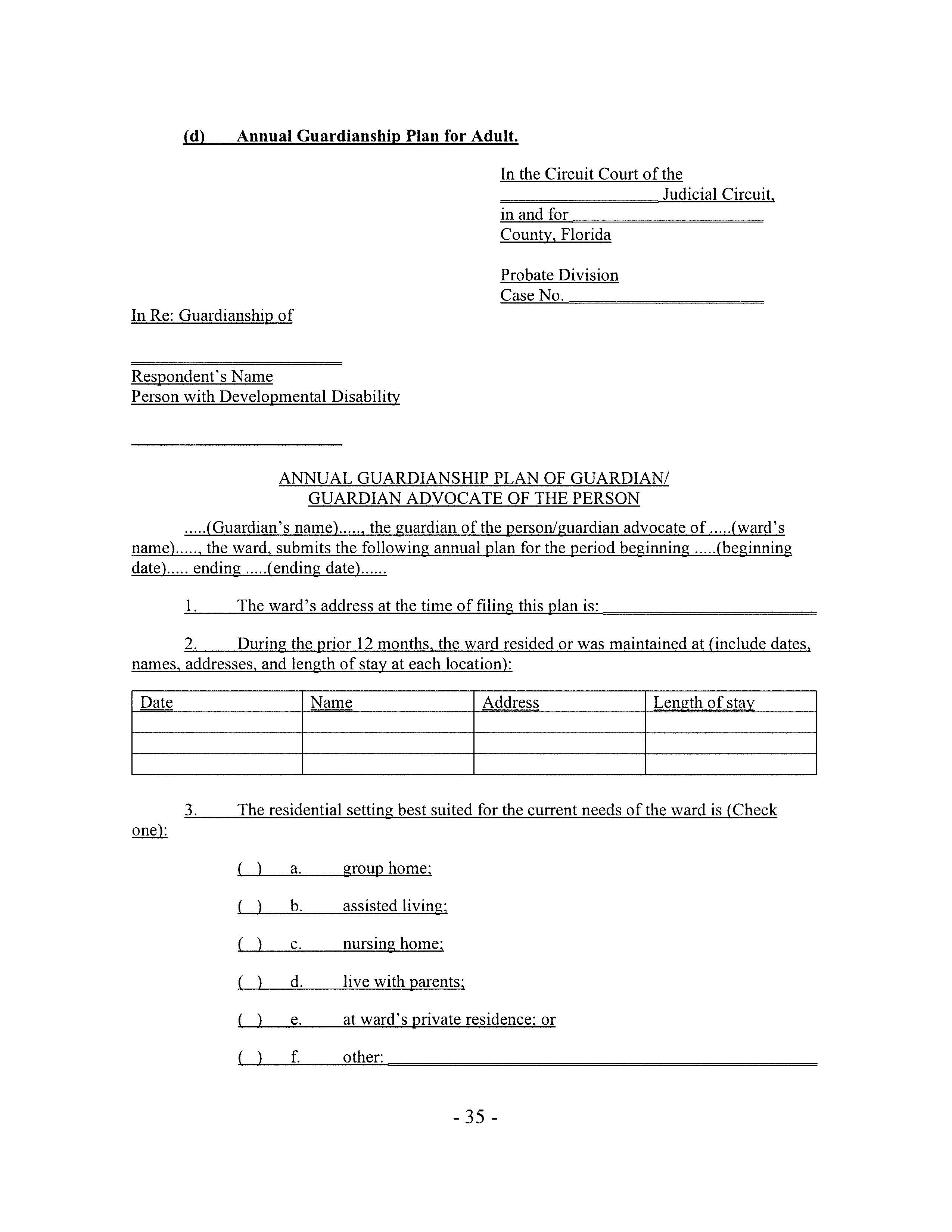
ANNUAL GUARDIANSHIP PLAN OF GUARDIAN/GUARDIAN ADVOCATE OF THE PERSON. This form is used in Florida’s probate courts to document and report the well-being, living situation, and care plan for an adult with developmental disabilities under guardianship or guardian advocacy. Filed by the guardian or guardian advocate, this form outlines the ward's residential arrangements over the past year, evaluates whether their current living setting remains suitable, and describes plans to meet their needs in the upcoming year. It also includes detailed records of medical treatments, therapeutic services, and social services the ward has received, as well as a physician’s evaluation of the ward’s current condition and capacity. The guardian must provide information about the ward’s social condition, needs, and participation in activities aimed at increasing independence. Additionally, the form asks whether restoration of any legal rights to the ward is appropriate or planned. This document ensures ongoing judicial oversight of the guardian’s actions and verifies that the ward is receiving appropriate care and support. The form must be signed under penalty of perjury and may require service to other parties unless the ward is fully incapacitated. www.FormsWorkflow.com





