California Jury Instructions
26 California Family Rights Act
Last updated: 7/29/2021
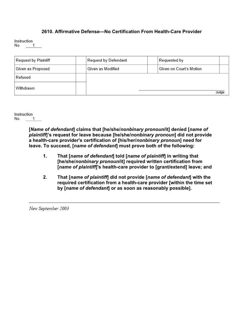
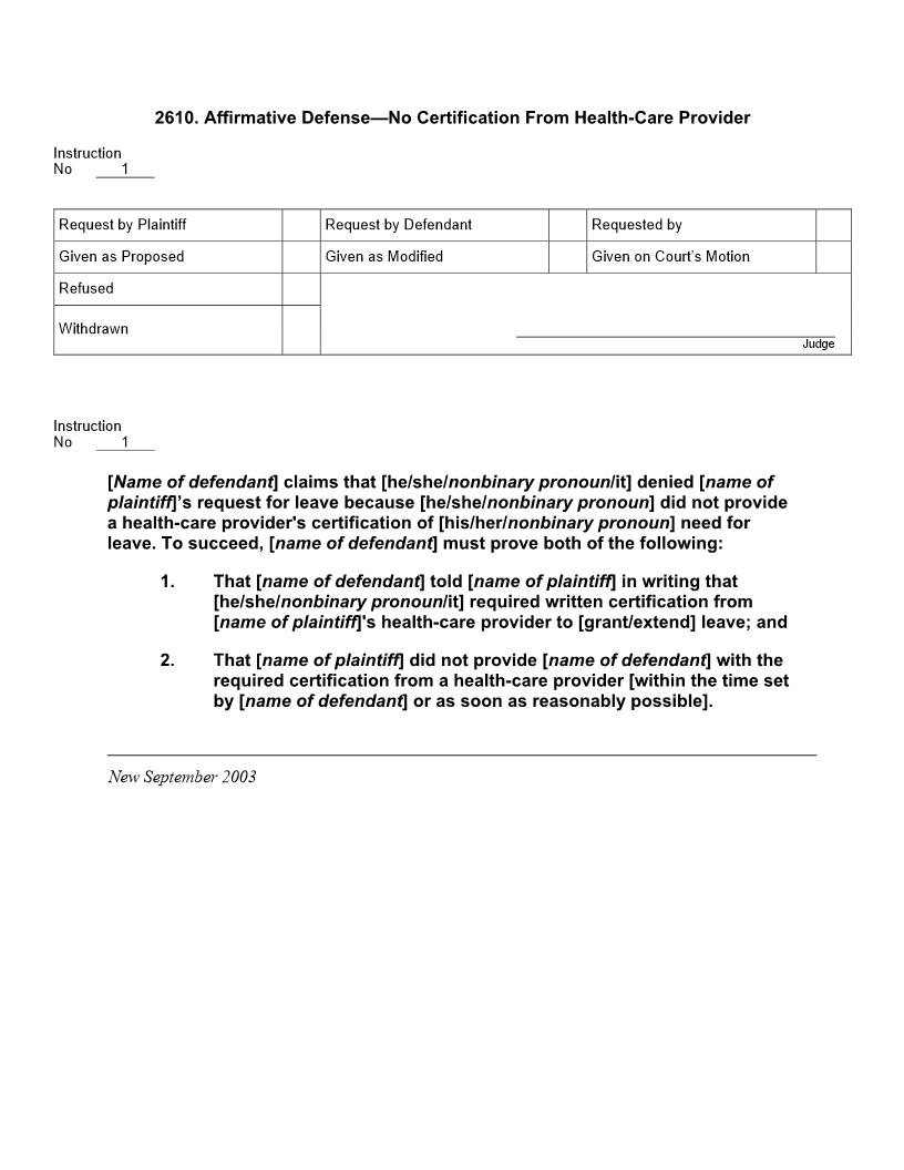
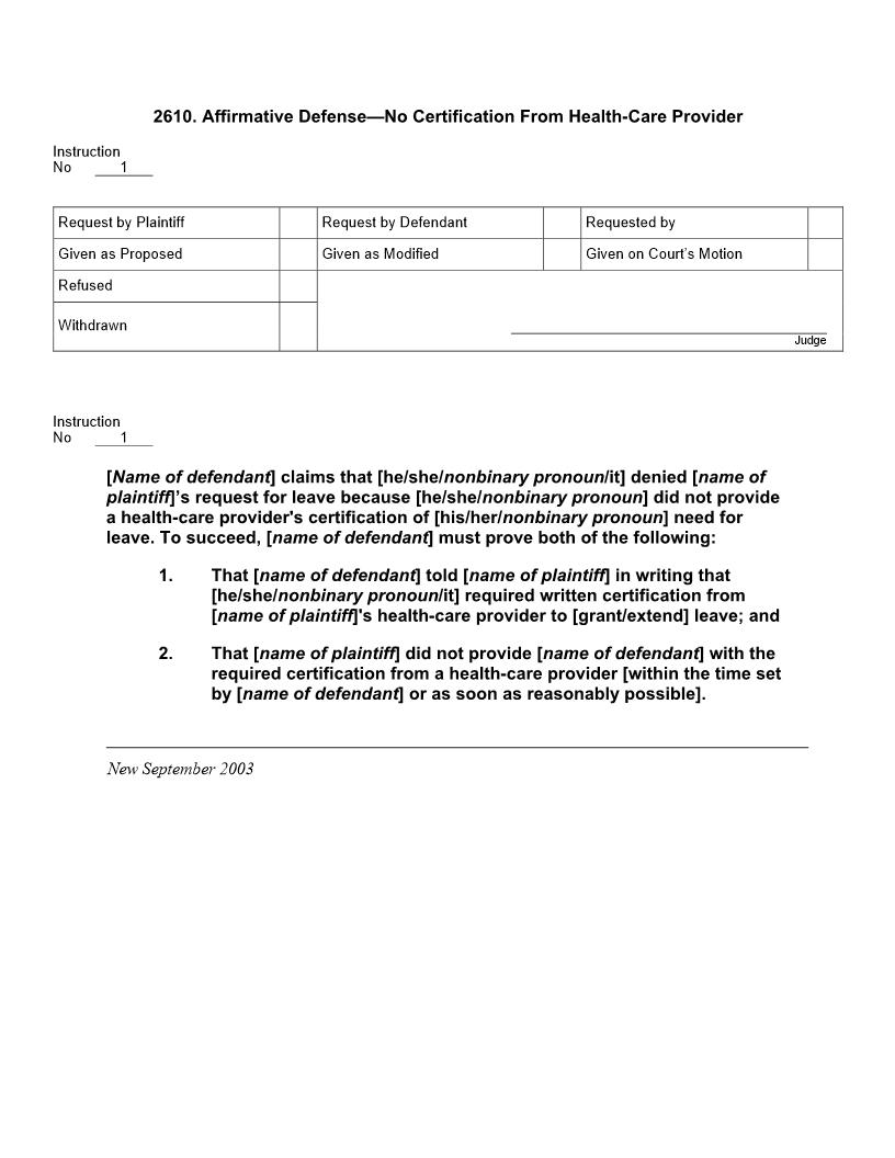
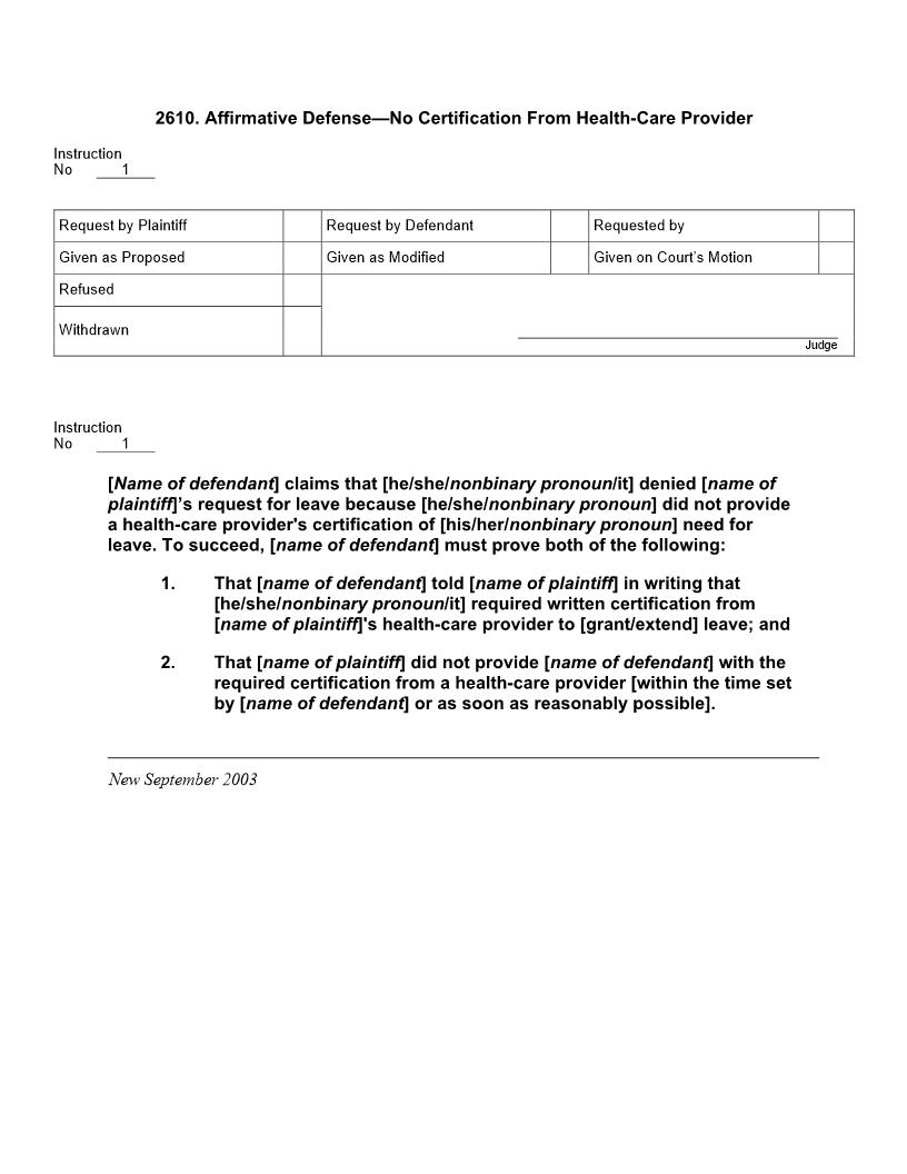
2610. Affirmative Defense No Certification From Health-Care Provider
Start Your Free Trial $ 13.99What you get:
- Instant access to fillable Microsoft Word or PDF forms.
- Minimize the risk of using outdated forms and eliminate rejected fillings.
- Largest forms database in the USA with more than 80,000 federal, state and agency forms.
- Download, edit, auto-fill multiple forms at once in MS Word using our Forms Workflow Ribbon
- Trusted by 1,000s of Attorneys and Legal Professionals
Description
Instruction No 1 Request by Plaintiff Request by Defendant Requested by Given as Proposed Given as Modified Given on Court222s Motion Refused Withdrawn Judge Instruction No 1 New September 2003
Related forms
Our Products





