California Jury Instructions
17 Defamation
200 Ratings
Last updated: 7/14/2021
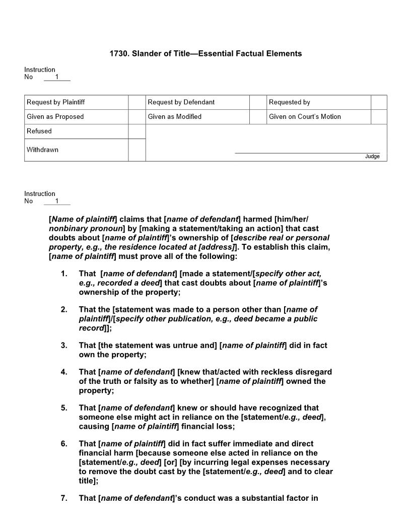
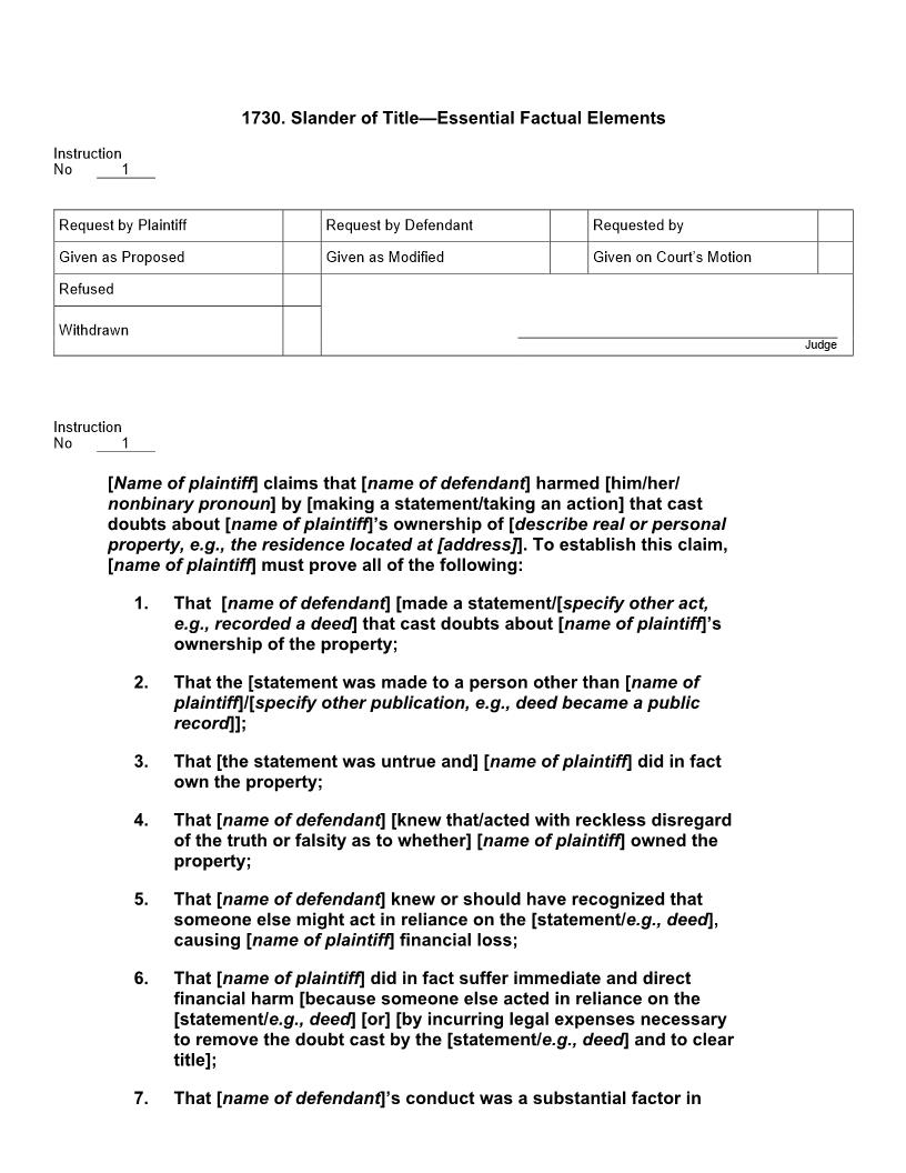
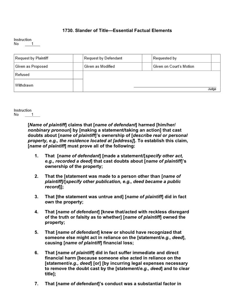
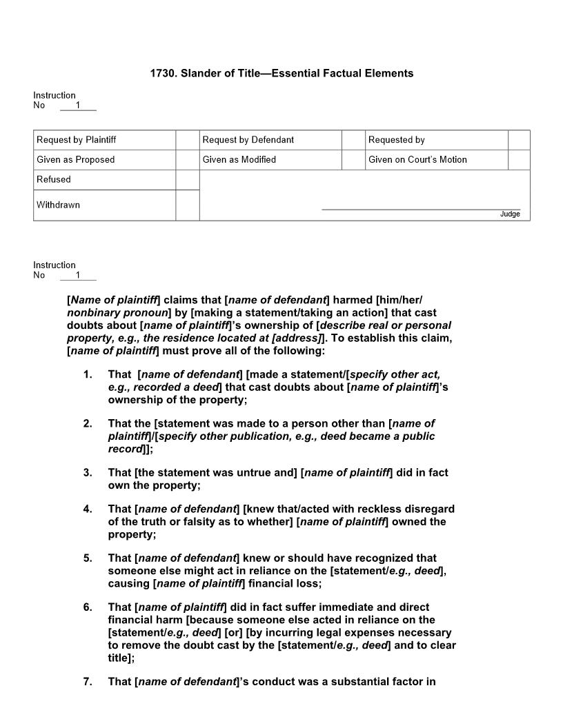
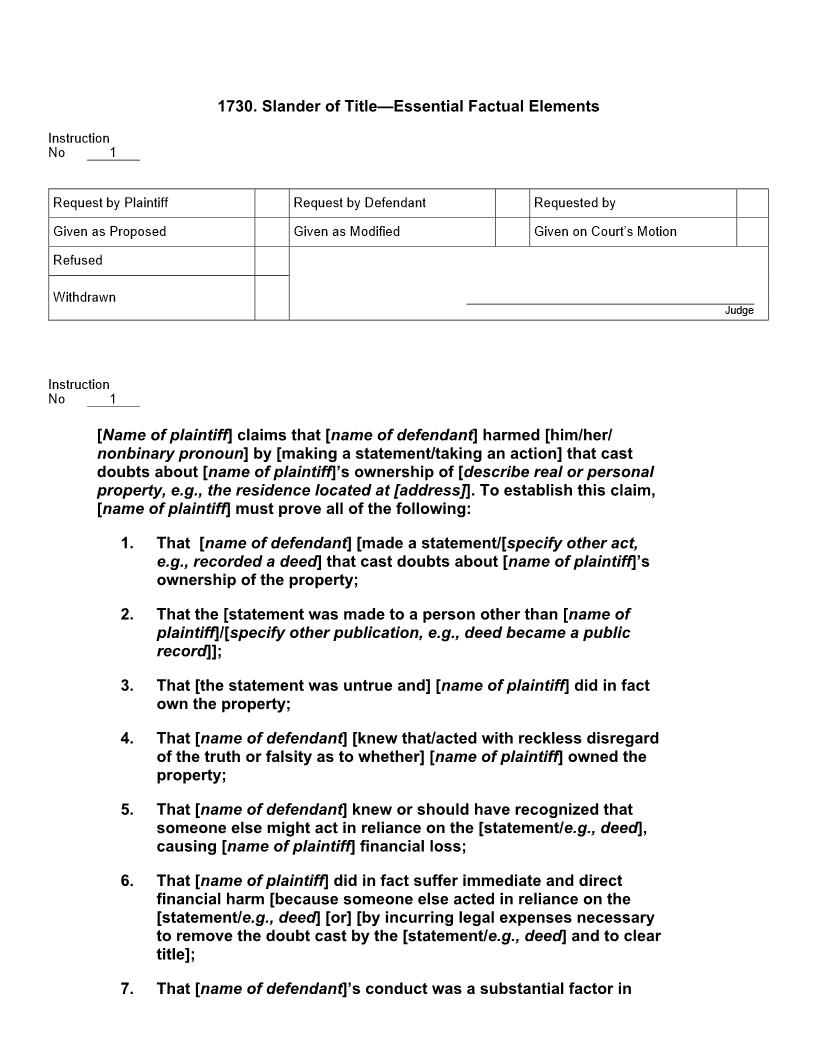
1730. Slander of Title Essential Factual Elements
Start Your Free Trial $ 13.99What you get:
- Instant access to fillable Microsoft Word or PDF forms.
- Minimize the risk of using outdated forms and eliminate rejected fillings.
- Largest forms database in the USA with more than 80,000 federal, state and agency forms.
- Download, edit, auto-fill multiple forms at once in MS Word using our Forms Workflow Ribbon
- Trusted by 1,000s of Attorneys and Legal Professionals
Description
Instruction No 1 Request by Plaintiff Request by Defendant Requested by Given as Proposed Given as Modified Given on Court222s Motion Refused Withdrawn Judge Instruction No 1 InstructionNo 1 Request by Plaintiff Request by Defendant Requested by Given as Proposed Given as Modified Given on Court222s Motion Refused Withdrawn Judge InstructionNo 1 New December 2012
Related forms
-
1707. Fact Versus Opinion
California Jury Instructions/17 Defamation/ -
1701. Defamation per quod Essential Factual Elements (Public Officer or Figure and Limited Public Figure)
California Jury Instructions/17 Defamation/ -
1702. Defamation per se Essential Factual Elements (Private Figure Matter of Public Concern)
California Jury Instructions/17 Defamation/ -
1703. Defamation per quod Essential Factual Elements (Private Figure Matter of Public Concern)
California Jury Instructions/17 Defamation/ -
1704. Defamation per se Essential Factual Elements (Private Figure Matter of Private Concern)
California Jury Instructions/17 Defamation/ -
1705. Defamation per quod Essential Factual Elements (Private Figure Matter of Private Concern)
California Jury Instructions/17 Defamation/ -
1720. Affirmative Defense Truth
California Jury Instructions/17 Defamation/ -
1731. Trade Libel Essential Factual Elements
California Jury Instructions/17 Defamation/ -
1700. Defamation Per Se Essential Factual Elements (Public Officer Or Figure And Limited Public Figure)
California Jury Instructions/17 Defamation/ -
1706. Definition of Statement
California Jury Instructions/17 Defamation/ -
1721. Affirmative Defense Consent
California Jury Instructions/17 Defamation/ -
1709. Retraction News Publication Or Broadcast (Civ. Code, § 48a)
California Jury Instructions/17 Defamation/ -
1723. Common Interest Privilege Malice (Civ. Code, § 47(c))
California Jury Instructions/17 Defamation/ -
1722. Affirmative Defense Statute of Limitations Defamation
California Jury Instructions/17 Defamation/ -
1724. Fair And True Reporting Privilege (Civ. Code, § 47(d))
California Jury Instructions/17 Defamation/ -
1730. Slander of Title Essential Factual Elements
California Jury Instructions/17 Defamation/ -
1708. Coerced Self-Publication
California Jury Instructions/17 Defamation/ -
VF 1701. Defamation per quod (Public Officer or Figure and Limited Public Figure)
California Jury Instructions/17 Defamation/ -
VF 1702. Defamation per se (Private Figure Matter of Public Concern)
California Jury Instructions/17 Defamation/ -
VF 1700. Defamation per se (Public Officer or Figure and Limited Public Figure)
California Jury Instructions/17 Defamation/ -
VF 1703. Defamation per quod (Private Figure Matter of Public Concern)
California Jury Instructions/17 Defamation/ -
VF 1704. Defamation per se Affirmative Defense Truth (Private Figure Matter of Private Concern)
California Jury Instructions/17 Defamation/ -
VF 1705. Defamation per quod (Private Figure Matter of Private Concern)
California Jury Instructions/17 Defamation/ -
VF 1720. Slander of Title
California Jury Instructions/17 Defamation/ -
VF 1721. Trade Libel
California Jury Instructions/17 Defamation/
Form Preview
Sorry, we couldn't download the pdf file.
Our Products
Contact Us
Success: Your message was sent.
Thank you!




