Last updated: 7/13/2021
Temporary Order Of Protection And Order To Appear {4-963}
Start Your Free Trial $ 25.99What you get:
- Instant access to fillable Microsoft Word or PDF forms.
- Minimize the risk of using outdated forms and eliminate rejected fillings.
- Largest forms database in the USA with more than 80,000 federal, state and agency forms.
- Download, edit, auto-fill multiple forms at once in MS Word using our Forms Workflow Ribbon
- Trusted by 1,000s of Attorneys and Legal Professionals
Description
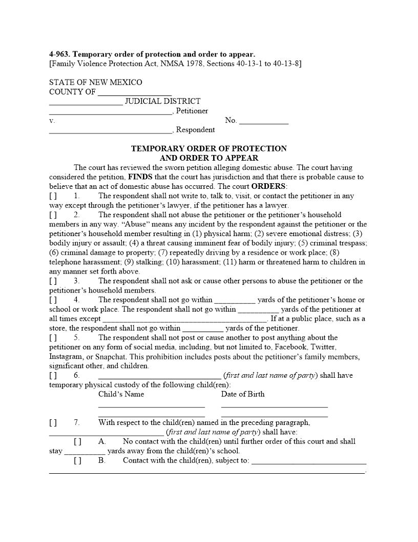
4-963. Temporary order of protection and order to appear. Family Violence Protection Act, Sections 40-13-1 to 40-13-8 NMSA 1978.] STATE OF NEW MEXICO COUNTY OF __________________ __________________ JUDICIAL DISTRICT ______________________________ , Petitioner v. ______________________________, Respondent No. __________ TEMPORARY ORDER OF PROTECTION AND ORDER TO APPEAR The court has reviewed the sworn petition alleging domestic abuse. The court having considered the petition, FINDS that the court has jurisdiction and that there is probable cause to believe that an act of domestic abuse has occurred. The court ORDERS: [] 1. Respondent shall not write to, talk to, visit or contact the petitioner in any way except through petitioner's lawyer, if petitioner has a lawyer. [] 2. Respondent shall not abuse the petitioner or the petitioner's household members in any way. "Abuse" means any incident by respondent against petitioner or petitioner's American LegalNet, Inc. www.FormsWorkFlow.com household member resulting in (1) physical harm; (2) severe emotional distress; (3) bodily injury or assault; (4) a threat causing imminent fear of bodily injury; (5) criminal trespass; (6) criminal damage to property; (7) repeatedly driving by a residence or work place; (8) telephone harassment; (9) stalking; (10) harassment; (11) harm or threatened harm to children in any manner set forth above. [] 3. Respondent shall not ask or cause other persons to abuse the petitioner or the petitioner's household members. [] 4. Respondent shall not go within __________ yards of the petitioner's home or school or work place. Respondent shall not go within __________ yards of the petitioner a t a l l t i m e s e x c e p t ______________________________________________________ ________________________________________. If at a public place, such as a store, respondent shall not go within __________ yards of petitioner. [] 5. ______________________________ shall have temporary physical custody of the following child(ren): [] 6. With respect to the child(ren) named in the preceding paragraph, [ ] respondent [ ] 2 American LegalNet, Inc. www.FormsWorkFlow.com petitioner shall have: [] A. No contact with the child(ren) until further order of this court and shall stay __________ yards away from the child(ren)'s school. [] B. Contact with the child(ren), subject to: _______________ ______________________________________________________ _______________________________________________. [] 7. Neither party shall remove the child(ren) named in the preceding paragraph from the State of New Mexico or disenroll the child(ren) from the child(ren)'s present school during the period of this temporary order of protection. [] 8. The court may decide temporary child and interim support at the hearing listed below. Both parties shall bring to the hearing proof of income in the form of the two latest pay stubs or the federal tax returns from the previous year, proof of work related day-care costs and proof of medical insurance costs for the child(ren). [] 9. [] A. Respondent is ordered to immediately leave the residence at __________________________________________________________ and 3 American LegalNet, Inc. www.FormsWorkFlow.com to not return until further court order. [] B. Law enforcement officers are hereby ordered to evict respondent from the residence at _____________________________________ ___________________________________________________. [] C. Respondent is ordered to surrender all keys to the residence to law enforcement officers. [] 10. Law enforcement officers or ______________________________ shall accompany [ ] respondent [ ] petitioner to remove essential tools (as specified in No. 13), clothing, and personal belongings from the residence at ___________________ __________________________________________________________. [] 11. Neither party shall transfer, hide, add debt to, sell or otherwise dispose of the other's property or the joint property of the parties except in the usual course of business or for the necessities of life. The parties shall account to the court for all such changes to property made after the order is served or communicated to the party. Neither party shall disconnect the utilities of the other party's residence. 4 American LegalNet, Inc. www.FormsWorkFlow.com [] 12. This order supersedes any inconsistent prior order in Cause No. __________________ and any other prior domestic relations order and domestic violence restraining orders between these two parties. [] 13. Other: __________________________________________________________ _______________________________________________________________. [] 14. While this order of protection is in effect, petitioner should refrain from any act that would cause the respondent to violate this order. This provision is not intended to and does not create a mutual order of protection. Under Section 40-13-6(D) NMSA 1978, only the restrained party can be arrested for violation of this order. HEARING IT IS FURTHER ORDERED that the parties shall appear in the ______________ ____________________ Judicial District Court, Room ________, at __________________, before __________________, at ____________ (a.m.) (p.m.) on _____________________ (date) for hearing on whether an extended order of protection against domestic abuse will be issued. Either party may bring witnesses or evidence and may be represented by counsel at this hearing. Respondent may file a Response to the Petition for Order of Protection from Domestic Abuse, see 5 American LegalNet, Inc. www.FormsWorkFlow.com Form 4-962 NMRA, on or before the hearing. If the respondent fails to attend this hearing, an extended order may be entered by default against respondent and a bench warrant may be issued for respondent's arrest. If petitioner willfully fails to appear at this hearing, the petition may be dismissed. This order remains in force until ________________________, __________. [] DO NOT BRING ANY CHILDREN TO THE HEARING WITHOUT PRIOR PERMISSION OF THE COURT. ENFORCEMENT OF ORDER If the respondent violates any part of this order, the respondent may be charged with a crime, arrested, held in contempt of court, fined or jailed. SERVICE AND NOTICE TO LAW ENFORCEMENT AGENCIES Upon the signing of this order by a district court judge, a law enforcement officer shall serve on the respondent a copy of this order and a copy of the petition. A LAW ENFORCEMENT OFFICER SHALL USE ANY LAWFUL MEANS TO ENFORCE 6





