Last updated: 5/14/2021
Request To Dismiss Petition For Injunction If Temporary Injunction Is Denied
Start Your Free Trial $ 14.00What you get:
- Instant access to fillable Microsoft Word or PDF forms.
- Minimize the risk of using outdated forms and eliminate rejected fillings.
- Largest forms database in the USA with more than 80,000 federal, state and agency forms.
- Download, edit, auto-fill multiple forms at once in MS Word using our Forms Workflow Ribbon
- Trusted by 1,000s of Attorneys and Legal Professionals
Description
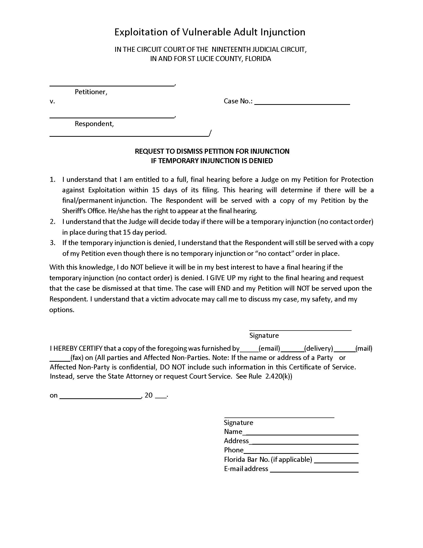
REQUEST TO DISMISS PETITION FOR INJUNCTION IF TEMPORARY INJUNCTION IS DENIED. This form is used in cases involving a petition for protection against the exploitation of a vulnerable adult. This form allows the petitioner (the person requesting the injunction) to voluntarily dismiss their petition for a final hearing if the judge denies a temporary injunction (such as a no-contact order). The petitioner acknowledges their right to a full hearing within 15 days but opts to cancel it if the temporary injunction is not granted, thereby ending the case without the respondent being served with the petition. www.FormsWorkflow.com
Related forms
-
Value of Real Property Or Mortgage Foreclosure Claim
Florida/Local County/St Lucie/General/ -
Disposition Of Personal Property Waiver And Consent
Florida/2 Local County/St Lucie/General/ -
Declaration Of Domicile
Florida/Local County/St Lucie/General/ -
Statement Of Claim For Return Of Property (Replevin-Pawnbroker)
Florida/Local County/St Lucie/General/ -
Order On Motion To Disburse Surplus Funds
Florida/2 Local County/St Lucie/General/ -
Owners Claim For Mortgage Foreclosure Surplus
Florida/2 Local County/St Lucie/General/ -
Change Of Address Form
Florida/2 Local County/St Lucie/General/ -
Redaction Request For Confidentiality
Florida/2 Local County/St Lucie/General/ -
Professional Consultant Lobbyist Disclosure Form
Florida/2 Local County/St Lucie/General/ -
Tax Sale Affidavit
Florida/Local County/St Lucie/General/ -
Lobbyists Registration Form
Florida/2 Local County/St Lucie/General/ -
Statement of Claim (Probate)
Florida/Local County/St Lucie/General/ -
Disposition Of Personal Property Without Administration Verified Statement
Florida/2 Local County/St Lucie/General/ -
Order For Disposition Of Personal Property Without Administration
Florida/2 Local County/St Lucie/General/ -
Disposition Of Personal Property Without Administration Waiver Consent Interested Party
Florida/2 Local County/St Lucie/General/ -
Sheriffs Office Domestic Repeat Dating Sexual Stalking Violence Vulnerable Adult Worksheet
Florida/2 Local County/St Lucie/General/ -
Petition For Injunction For Protection Against Exploitation Of Vulnerable Adult
Florida/2 Local County/St Lucie/General/ -
Consent For Petitioner To File On Behalf Of Vulnerable Adult
Florida/2 Local County/St Lucie/General/ -
Affidavit Of Violation Of Injunction Against Exploitation Of Vulnerable Adult
Florida/2 Local County/St Lucie/General/ -
Motion To Modify Injunction Against Exploitation Of Vulnerable Adult
Florida/2 Local County/St Lucie/General/ -
Request To Dismiss Petition For Injunction If Temporary Injunction Is Denied
Florida/2 Local County/St Lucie/General/ -
Motion To Dissolve Injunction Against Exploitation Of Vulnerable Adult
Florida/2 Local County/St Lucie/General/ -
Petition And Affidavit Seeking Ex Parte Order Requiring Involuntary Examination
Florida/2 Local County/St Lucie/General/ -
Memo To Sheriff (Family Law Document Service)
Florida/2 Local County/St Lucie/General/ -
Civil Case Management Plan And Order
Florida/2 Local County/St Lucie/General/ -
Notice Of Confidential Information WIthin Court Filing
Florida/2 Local County/St Lucie/General/ -
Consent To Petition For Dependency
Florida/Local County/St Lucie/General/ -
Replevin Complaint
Florida/Local County/St Lucie/General/ -
Statement Of Claim Return Of Property From Pawnbroker
Florida/Local County/St Lucie/General/ -
Statement Of Claim For Replevin (Return Of Property Government Entity)
Florida/Local County/St Lucie/General/ -
Civil Cover Sheet
Florida/2 Local County/St Lucie/General/ -
Designation Of E-Mail Address For Party Not Represented By Attorney
Florida/2 Local County/St Lucie/General/ -
Subpoena Duces Tecum
Florida/2 Local County/St Lucie/General/ -
Witness Subpoena
Florida/2 Local County/St Lucie/General/ -
Summons - Personal Service On Natural Person
Florida/Local County/St Lucie/General/
Form Preview
Contact Us
Success: Your message was sent.
Thank you!




