Last updated: 4/30/2021
Conversion From Chapter 13 To Chapter 7 Forms And Information
Start Your Free Trial $ 21.99What you get:
- Instant access to fillable Microsoft Word or PDF forms.
- Minimize the risk of using outdated forms and eliminate rejected fillings.
- Largest forms database in the USA with more than 80,000 federal, state and agency forms.
- Download, edit, auto-fill multiple forms at once in MS Word using our Forms Workflow Ribbon
- Trusted by 1,000s of Attorneys and Legal Professionals
Description
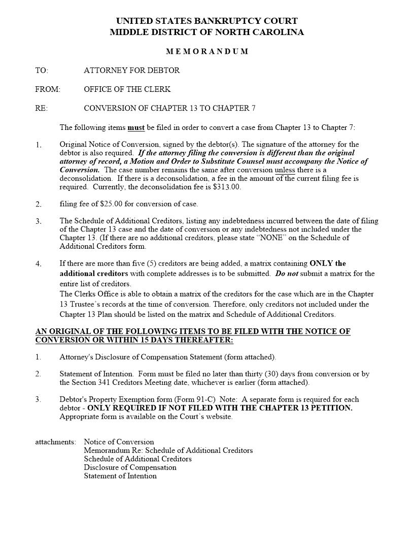
UNITED STATES BANKRUPTCY COURT MIDDLE DISTRICT OF NORTH CAROLINA M E M O R A N D U MTO: ATTORNEY FOR DEBTOR FROM: OFFICE OF THE CLERK RE: CONVERSION OF CHAPTER 13 TO CHAPTER 7 The following items must be filed in order to convert a case from Chapter 13 to Chapter 7:1. Original Notice of Conversion, signed by the debtor(s). The signature of the attorney for the debtor is also required. If the attorney filing the conversion is different than the original attorney of record, a Motion and Order to Substitute Counsel must accompany the Notice of Conversion. The case number remains the same after conversion unless there is a deconsolidation. If there is a deconsolidation, a fee of one-half the current filing fee is required. Currently, the deconsolidation fee is $77.50. [Note: A copy of the FILED Notice of Conversion should be immediately served on the Chapter 13 Trustee.]2. Filing fee of $15.00 for conversion of case.3. The Schedule of Additional Creditors, listing any indebtedness incurred between the date of filing of the Chapter 13 case and the date of conversion or any indebtedness not included under the Chapter 13. (If there are no additional creditors, please state NONE on the Schedule of Additional Creditors form. 4. If more than five (5) creditors are being added, a matrix containing ONLY the additional creditors with complete addresses is to be submitted. Do not submit a matrix for the entire list of creditors. The Clerks Office is able to obtain a matrix of the creditors for the case which are in the Chapter 13 Trustees records at the time of conversion. Therefore, only creditors not included under the Chapter 13 Plan should be listed on the matrix and Schedule of Additional Creditors. AN ORIGINAL AND ONE COPY OF THE FOLLOWING ITEMS TO BE FILED WITH THENOTICE OF CONVERSION OR WITHIN 15 DAYS THEREAFTER:1. Attorneys Disclosure of Compensation Statement (form attached).2. Debtors Property Exemption form (Form 91-C) Note: A separate form is required for each debtor (form attached). 3. Statement of Intention. Form must be filed no later than thirty (30) days from conversion or by the Section 341 Creditors Meeting date, whichever is earlier (form attached).attachments: Notice of Conversion Memorandum Re: Schedule of Additional Creditors Schedule of Additional Creditors Disclosure of Compensation Exemption Form 91C Statement of Intention <<<<<<<<<********>>>>>>>>>>>>> 2 UNITED STATES BANKRUPTCY COURT MIDDLE DISTRICT OF NORTH CAROLINA IN THE MATTER OF: ) ) NOTICE OF CONVERSION ) FROM CHAPTER 13 TO CHAPTER 7 ) ) ) Debtor(s) ) TAKE NOTICE THAT pursuant to Section 1307(a) and Bankruptcy Rule 1017(f)(3), the undersigned debtor(s)hereby files this Notice of Conversion to Chapter 7 and provides the following information: 1. On , the above named debtor(s) filed a Petition under Chapter 13 of the Bankruptcy Code. 2. (Check appropriate boxes) A. Debtor(s) Plan was confirmed ( ) Yes ( ) No B. Debtor(s) was present at ( ) Yes ( ) No first Creditors Meeting C. Debtor(s) owns real estate ( ) Yes ( ) No3. Debtor(s) is represented by an ( ) Yes ( ) No attorney in this conversion The Debtor(s) present mailing address is: Respectfully submitted: *Attorneys signature as well as Debtor(s) is required where Debtor attorney is handling conversion Debtor Attorney of Record* Date: State Bar No.: Attorneys Name & Address <<<<<<<<<********>>>>>>>>>>>>> 3 UNITED STATES BANKRUPTCY COURT MIDDLE DISTRICT OF NORTH CAROLINA M E M O R A N D U MTO: Attorney for Debtor FROM: Clerk, U. S. Bankruptcy Court RE: Debtors Schedule of Additional CreditorsIf your client filed Chapter 13 and is now converting the case to Chapter 7, it is possible that debts wereincurred that may need to be included under the Chapter 7. If debts were incurred, the names, addressesand amounts owed to these creditors must be filed with the Court in order for the debtor to be dischargedof these debts. Please complete the Schedule of Additional Creditors form, listing the creditors complete names andaddresses and the amounts owed for any indebtedness. This list should only include the debts incurredbetween the date the debtors Chapter 13 case was filed and the date the case was converted to Chapter 7liquidation or any debts not included in the records maintained by the Chapter 13 Trustees office. Thisinformation should be typed or printed legibly. If there are more than five creditors being added, please attach a matrix with the Schedule of AdditionalCreditors. The matrix submitted with a conversion should contain ONLY the additional creditors - notan entire matrix of all creditors. The Notice of Conversion, the Schedule of Additional Creditors along with matrix, if needed, are to becompleted and filed with the appropriate Court division at one of the following addresses: U. S. Bankruptcy Court U.S. Bankruptcy Court 101 S. Edgeworth St. Divisional Office P. O. Box 26100 226 S. Liberty St. Greensboro, NC 27420-6100 Winston-Salem, NC 27101<<<<<<<<<********>>>>>>>>>>>>> 4 UNITED STATES BANKRUPTCY COURT MIDDLE DISTRICT OF NORTH CAROLINA In re: ) ) ) Case No.: Debtor(s) ) SCHEDULE OF ADDITIONAL CREDITORS The following debts were incurred by the debtor(s) between the date of filing of the Chapter 13 case andthe date of conversion or were not included in the list of creditors maintained by the Chapter 13 Office:NAME & ADDRESS OF CREDITOR AMOUNT INDEBTEDNESS SECURED BY(1) (2) (3) (4) (5) (6) (7) Date: Signed: Debtor Signed: Debtor<<<<<<<<<********>>>>>>>>>>>>> 5 UNITED STATES BANKRUPTCY COURT MIDDLE DISTRICT OF NORTH CAROLINA In re: Case No.: Disclosure of Compensation Paid or Promised to Attorney for Debtor(s) for Conversion from Chapter 13 to Chapter 7Attorneys Name: (Please Print) 1. Amount of compensation paid for services rendered or to be rendered for the conversion of this case to Chapter 7: $ 2. Amount of additional compensation promised, but not yet paid, for services rendered or to be rendered in connection with this conversion: $ 3. Source of compensation paid or promised: 4. Particulars for the sharing or agreement to share compensation. 5. Amount of compensation paid to debtor(s) attorney for representation in the Chapter 13 case: (if you were not the attorney who filed the original Chapter 13 petition for debtor(s), please so state.) $ 6. Total attorneys fee charged and paid for representation in Chapter 13 case and conversion to Chapter 7. $ Date: Attorney for Petitioner(s) (Signature) <<<<<<<<<********>>>>>>>>>>>>> 6 UNITED STATES BA





