Last updated: 11/9/2017
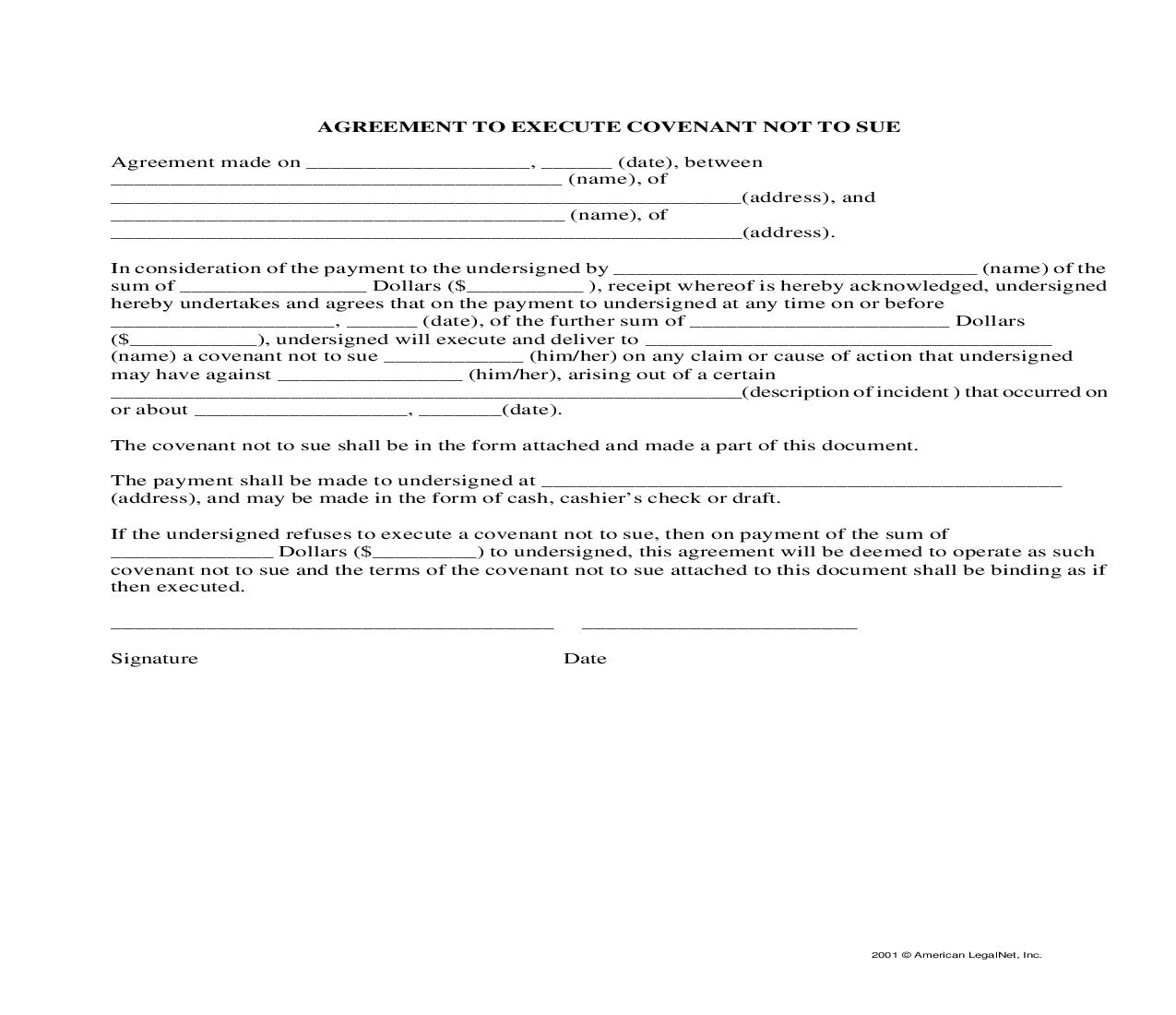
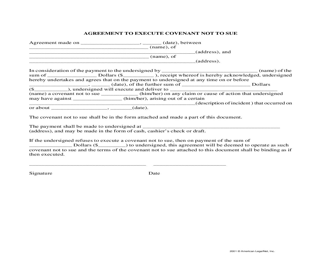
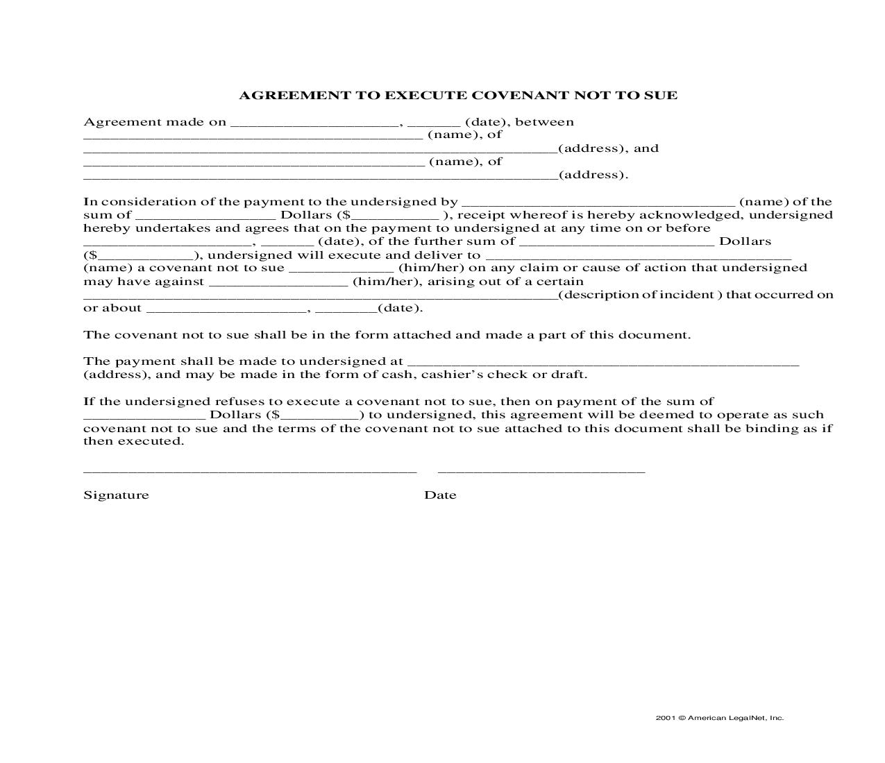
Agreement To Execute Covenant Not To Sue
Start Your Free Trial $ 13.99What you get:
- Instant access to fillable Microsoft Word or PDF forms.
- Minimize the risk of using outdated forms and eliminate rejected fillings.
- Largest forms database in the USA with more than 80,000 federal, state and agency forms.
- Download, edit, auto-fill multiple forms at once in MS Word using our Forms Workflow Ribbon
- Trusted by 1,000s of Attorneys and Legal Professionals
Description
AGREEMENT TO EXECUTE COVENANT NOT TO SUE Agreement made on , (date), between (name), of (address), and (name), of (address). In consideration of the payment to the undersigned by (name) of the sum of Dollars ($ ), receipt whereof is hereby a cknowledged, undersigned hereby undertakes and agrees that on the payment to undersigned at any time on or before , (date), of the further sum of Dollars ($), undersigned will execute and deliver to (name) a covenant not to sue (him/her) on any claim or cause of action that undersigned may have against (him/her), arising out of a certain (description of incident ) that occurred on or about , (date). The covenant not to sue shall be in the form attached and made a part of this document. The payment shall be made to undersigned at (address), and may be made in the form of cash, cashier222s check or draft. If the undersigned refuses to execute a covenant not to sue, then on payment of the sum of Dollars ($) to undersigned, this agreement will be d eemed to operate as such covenant not to sue and the terms of the covenant not to sue attached to this document shall be binding as if then executed. Signature Date 2001 251 American LegalNet, Inc.





