Last updated: 11/4/2020
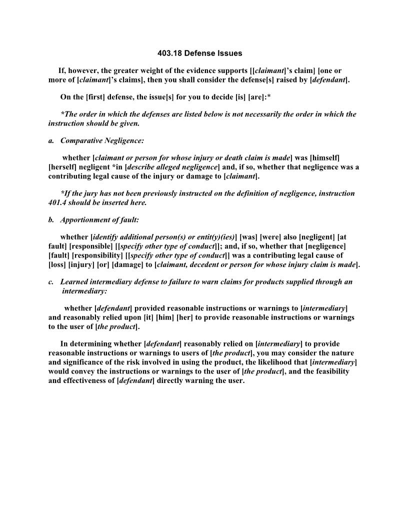
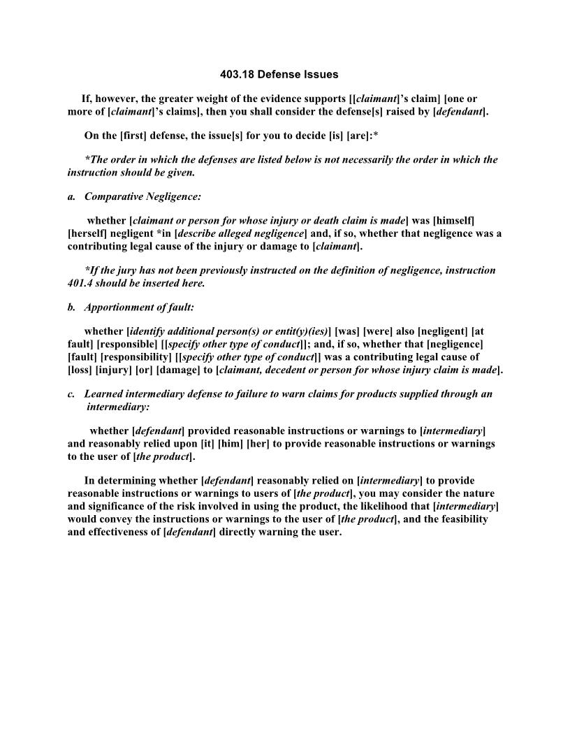
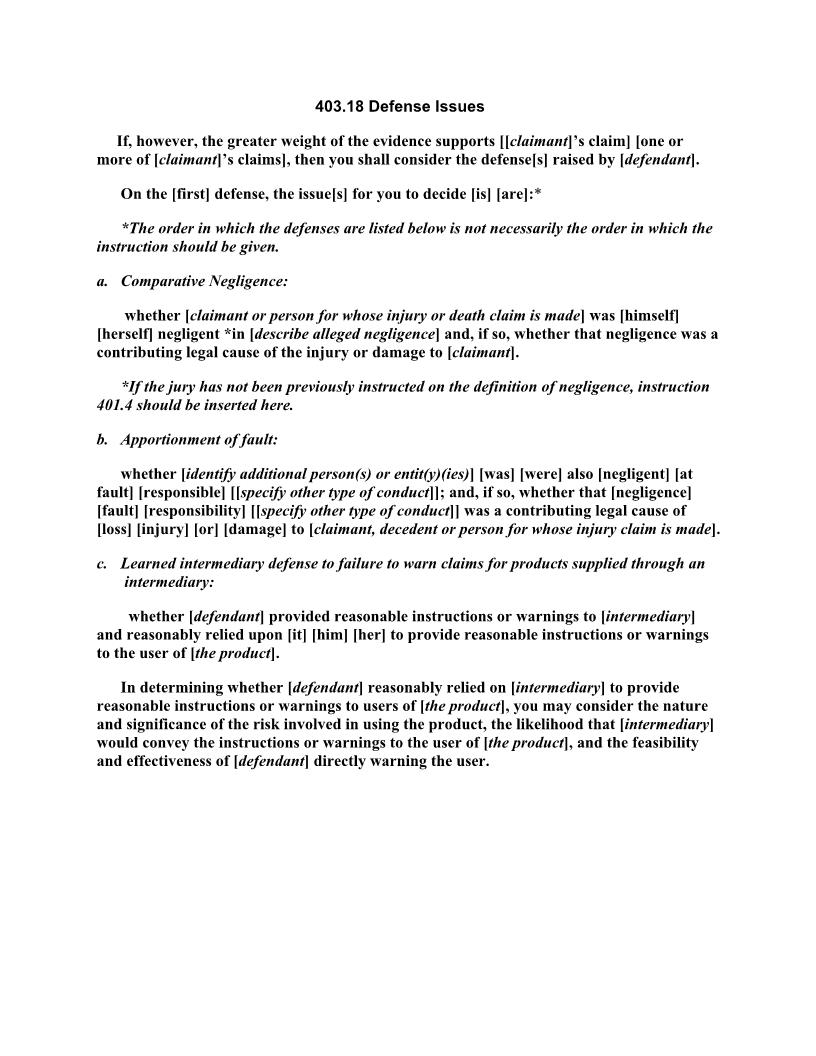
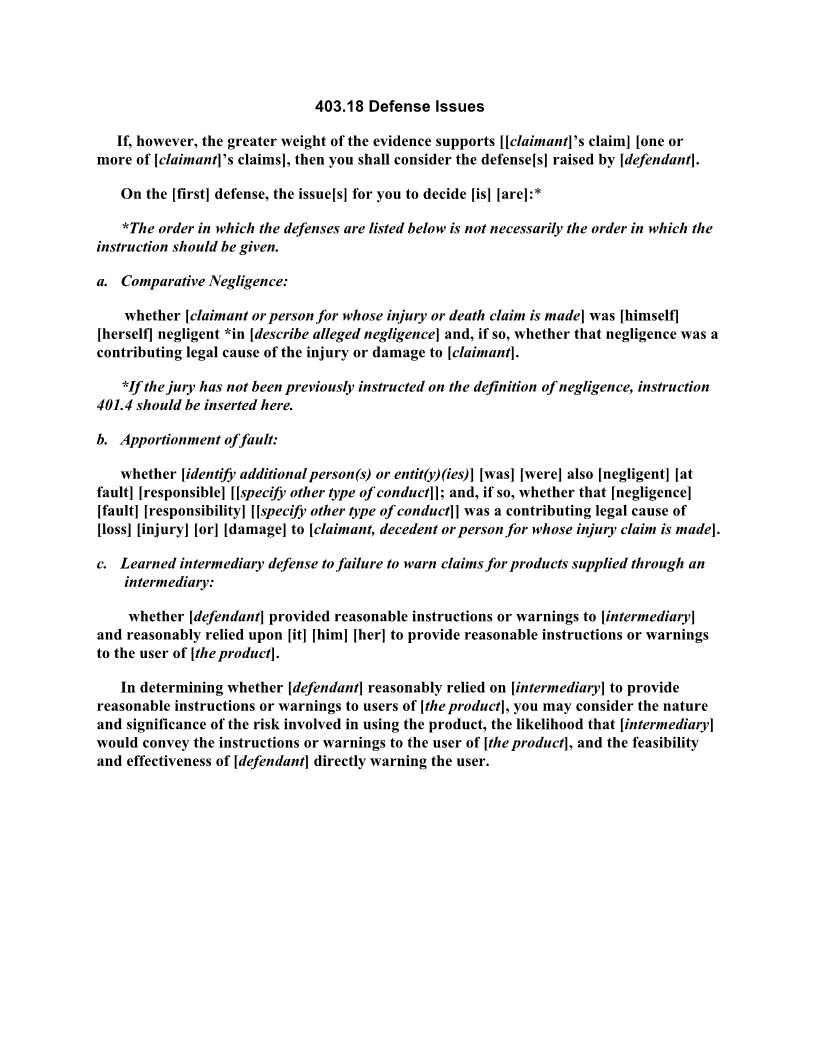
403.18 Defense Issues
Start Your Free Trial $ 5.99What you get:
- Instant access to fillable Microsoft Word or PDF forms.
- Minimize the risk of using outdated forms and eliminate rejected fillings.
- Largest forms database in the USA with more than 80,000 federal, state and agency forms.
- Download, edit, auto-fill multiple forms at once in MS Word using our Forms Workflow Ribbon
- Trusted by 1,000s of Attorneys and Legal Professionals
Description
403.18 Defense Issues If, however, the greater weight of the evidence supports [[name of claimant]'s claim] [one or more of [name of claimant]'s claims], then you shall consider the defense[s] raised by [name of defendant]. On the [first] defense, the issue[s] for you to decide [is] [are]:* *The order in which the defenses are listed below is not necessarily the order in which the instruction should be given. a. Comparative Negligence: Whether [name of claimant or person for whose injury or death claim is made] was [himself] [herself] negligent * in [describe alleged negligence] and, if so, whether that negligence was a contributing legal cause of the injury or damage to [name of claimant]. *If the jury has not been previously instructed on the definition of negligence, instruction 401.4 should be inserted here. b. Risk/Benefit Defense: Whether, on balance, the [benefits] [or] [value] of [name of product] outweigh the risks or danger connected with its use. c. Government Rules Defense: NO INSTRUCTION (See Notes on Use) d. State-of-the-Art Defense: In deciding whether [name of product] was defective because of a design defect, you shall consider the state-of-the-art of scientific and technical knowledge and other circumstances that existed at the time of [name of product]'s manufacture, not at the time of the [loss] [injury] [or] [damage]. e. Apportionment of fault: Whether [identify additional person[s] or entit[y][ies]] [was] [were] also [negligent] [at fault] [responsible] [[specify other type of conduct]]; and, if so, whether that [negligence] [fault] [responsibility] [[specify other type of conduct]] was a contributing legal cause of [loss] [injury] [or] [damage] to [name of claimant, decedent or person for whose injury claim is made].





