Last updated: 10/12/2020
3600. Conspiracy Essential Factual Elements
Start Your Free Trial $ 13.99What you get:
- Instant access to fillable Microsoft Word or PDF forms.
- Minimize the risk of using outdated forms and eliminate rejected fillings.
- Largest forms database in the USA with more than 80,000 federal, state and agency forms.
- Download, edit, auto-fill multiple forms at once in MS Word using our Forms Workflow Ribbon
- Trusted by 1,000s of Attorneys and Legal Professionals
Description
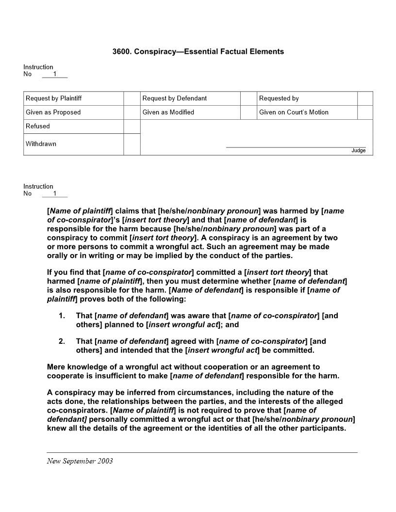
3600. Conspiracy--Essential Factual Elements Instruction No 1 Request by Plaintiff Given as Proposed Refused Withdrawn Request by Defendant Given as Modified Requested by Given on Court's Motion Judge Instruction No 1 [Name of plaintiff] claims that [he/she] was harmed by [name of co-conspirator]'s [insert tort theory] and that [name of defendant] is responsible for the harm because [he/she] was part of a conspiracy to commit [insert tort theory]. A conspiracy is an agreement by two or more persons to commit a wrongful act. Such an agreement may be made orally or in writing or may be implied by the conduct of the parties. If you find that [name of co-conspirator] committed a [insert tort theory] that harmed [name of plaintiff], then you must determine whether [name of defendant] is also responsible for the harm. [Name of defendant] is responsible if [name of plaintiff] proves both of the following: 1. 2. That [name of defendant] was aware that [name of co-conspirator] [and others] planned to [insert wrongful act]; and That [name of defendant] agreed with [name of co-conspirator] [and others] and intended that the [insert wrongful act] be committed. Mere knowledge of a wrongful act without cooperation or an agreement to cooperate is insufficient to make [name of defendant] responsible for the harm. A conspiracy may be inferred from circumstances, including the nature of the acts done, the relationships between the parties, and the interests of the alleged co-conspirators. [Name of plaintiff] is not required to prove that [name of defendant] personally committed a wrongful act or that [he/she] knew all the details of the agreement or the identities of all the other participants. ________________________________________________________________________________ New September 2003





