California Jury Instructions
23 Insurance Litigation
200 Ratings
Last updated: 10/5/2020
2350. Damages for Bad Faith
Start Your Free Trial $ 13.99What you get:
- Instant access to fillable Microsoft Word or PDF forms.
- Minimize the risk of using outdated forms and eliminate rejected fillings.
- Largest forms database in the USA with more than 80,000 federal, state and agency forms.
- Download, edit, auto-fill multiple forms at once in MS Word using our Forms Workflow Ribbon
- Trusted by 1,000s of Attorneys and Legal Professionals
Description
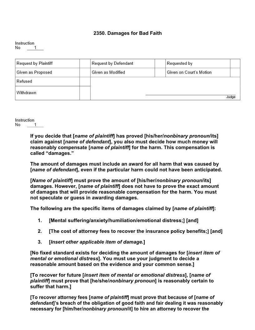
Instruction No 1 Request by Plaintiff Request by Defendant Requested by Given as Proposed Given as Modified Given on Court222s Motion Refused Withdrawn Judge Instruction No 1 Instruction No 1 Request by Plaintiff Request by Defendant Requested by Given as Proposed Given as Modified Given on Court222s Motion Refused Withdrawn Judge Instruction No 1
Related forms
-
2330. Implied Obligation of Good Faith and Fair Dealing Explained
California Jury Instructions/23 Insurance Litigation/ -
2335. Bad Faith Advice of Counsel
California Jury Instructions/23 Insurance Litigation/ -
2360. Judgment Creditors Action Against Insurer Essential Factual Elements
California Jury Instructions/23 Insurance Litigation/ -
2322. Affirmative Defense Insureds Voluntary Payment
California Jury Instructions/23 Insurance Litigation/ -
2351. Insurers Claim for Reimbursement of Costs of Defense of Uncovered Claims
California Jury Instructions/23 Insurance Litigation/ -
2331. Breach of Implied Oblig of Gd Faith Fair Dealing Failure Delay in Pmt (1st Party) Ess Fact Els
California Jury Instructions/23 Insurance Litigation/ -
2308. Affirmative Defense Misrepresentation or Concealment in Insurance Application
California Jury Instructions/23 Insurance Litigation/ -
2332. Bad Faith (First Party) Failure to Properly Investigate Claim Essential Factual Elements
California Jury Instructions/23 Insurance Litigation/ -
2333. Bad Faith (First Party) Breach of Duty to Inform Insured of Rights Essential Factual Elements
California Jury Instructions/23 Insurance Litigation/ -
2336. Bad Faith (Third Party) Unreasonable Failure to Defend Essential Factual Elements
California Jury Instructions/23 Insurance Litigation/ -
2337. Factors to Consider in Evaluating Insurers Conduct
California Jury Instructions/23 Insurance Litigation/ -
2350. Damages for Bad Faith
California Jury Instructions/23 Insurance Litigation/ -
2361. Negligent Failure to Obtain Insurance Coverage Essential Factual Elements
California Jury Instructions/23 Insurance Litigation/ -
2300. Breach of Contractual Duty to Pay a Covered Claim
California Jury Instructions/23 Insurance Litigation/ -
2301. Breach of Insurance Binder Essential Factual Elements
California Jury Instructions/23 Insurance Litigation/ -
2302. Breach of Contract for Temporary Life Insurance Essential Factual Elements
California Jury Instructions/23 Insurance Litigation/ -
2303. Affirmative Defense Insurance Policy Exclusion
California Jury Instructions/23 Insurance Litigation/ -
2304. Exception to Insurance Policy Exclusion Burden of Proof
California Jury Instructions/23 Insurance Litigation/ -
2305. Lost or Destroyed Insurance Policy
California Jury Instructions/23 Insurance Litigation/ -
2306. Covered and Excluded Risks Predominant Cause of Loss
California Jury Instructions/23 Insurance Litigation/ -
2307. Insurance Agency Relationship Disputed
California Jury Instructions/23 Insurance Litigation/ -
2309. Termination of Insurance Policy for Fraudulent Claim
California Jury Instructions/23 Insurance Litigation/ -
2320. Affirmative Defense Failure to Provide Timely Notice
California Jury Instructions/23 Insurance Litigation/ -
2321. Affirmative Defense Insureds Breach of Duty to Cooperate in Defense
California Jury Instructions/23 Insurance Litigation/ -
2334. Bad Faith (3rd Party) Refusal Reasonable Settlement Demand Ess Fact Els
California Jury Instructions/23 Insurance Litigation/ -
VF 2300. Breach of Contractual Duty to Pay a Covered Claim
California Jury Instructions/23 Insurance Litigation/ -
VF 2301. Breach of Implied Obligation of Gd Faith Fair Dealing Failure or Delay in Payment
California Jury Instructions/23 Insurance Litigation/ -
VF 2303. Bad Faith (First Party) Breach of Duty to Inform
California Jury Instructions/23 Insurance Litigation/ -
VF 2304. Bad Faith (Third Party) Refusal Reasonable Settlement Demand
California Jury Instructions/Insurance Litigation/
Form Preview
Sorry, we couldn't download the pdf file.
Our Products
Contact Us
Success: Your message was sent.
Thank you!




