Last updated: 7/27/2020
Civil Cover Sheet
Start Your Free Trial $ 6.00What you get:
- Instant access to fillable Microsoft Word or PDF forms.
- Minimize the risk of using outdated forms and eliminate rejected fillings.
- Largest forms database in the USA with more than 80,000 federal, state and agency forms.
- Download, edit, auto-fill multiple forms at once in MS Word using our Forms Workflow Ribbon
- Trusted by 1,000s of Attorneys and Legal Professionals
Description
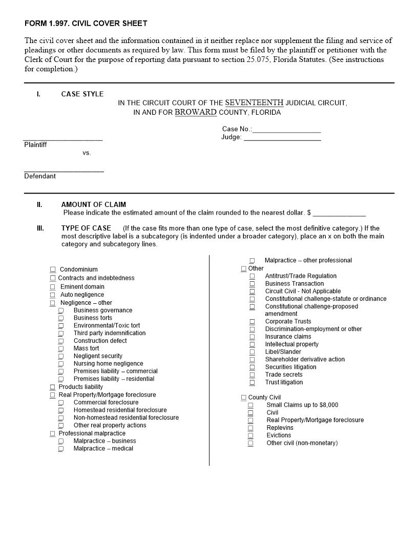
FORM 1.997 - CIVIL COVER SHEET. This is a required filing used in civil cases in Florida Circuit and County Courts, including Broward County, to report case information for statistical and administrative purposes under section 25.075, Florida Statutes. Filed by the plaintiff or petitioner with the initial pleading, the form identifies the case style, estimated amount in controversy, type of case, remedies sought, number of causes of action, jury trial demand, related cases, and whether the matter qualifies for Complex Business Court. The Civil Cover Sheet does not replace pleadings and does not determine the merits of the case, but failure to file it when required may result in sanctions. www.FormsWorkflow.com





