Last updated: 1/28/2020
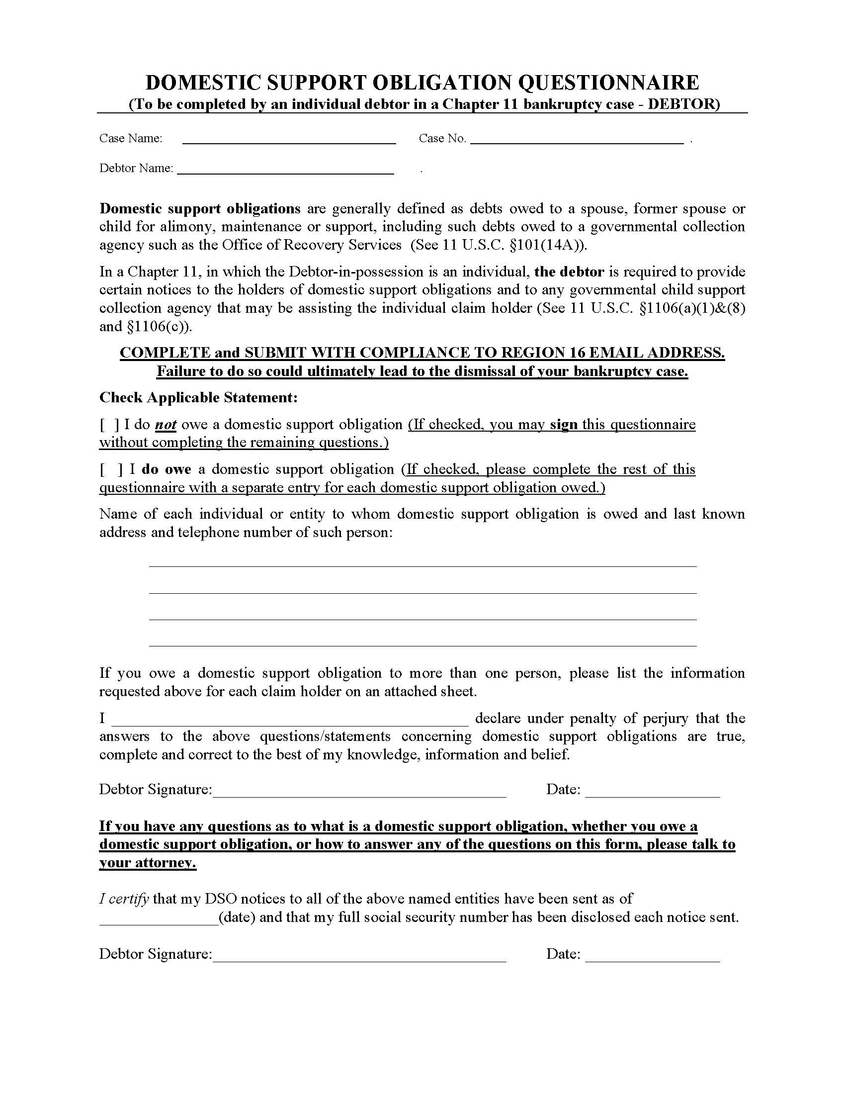
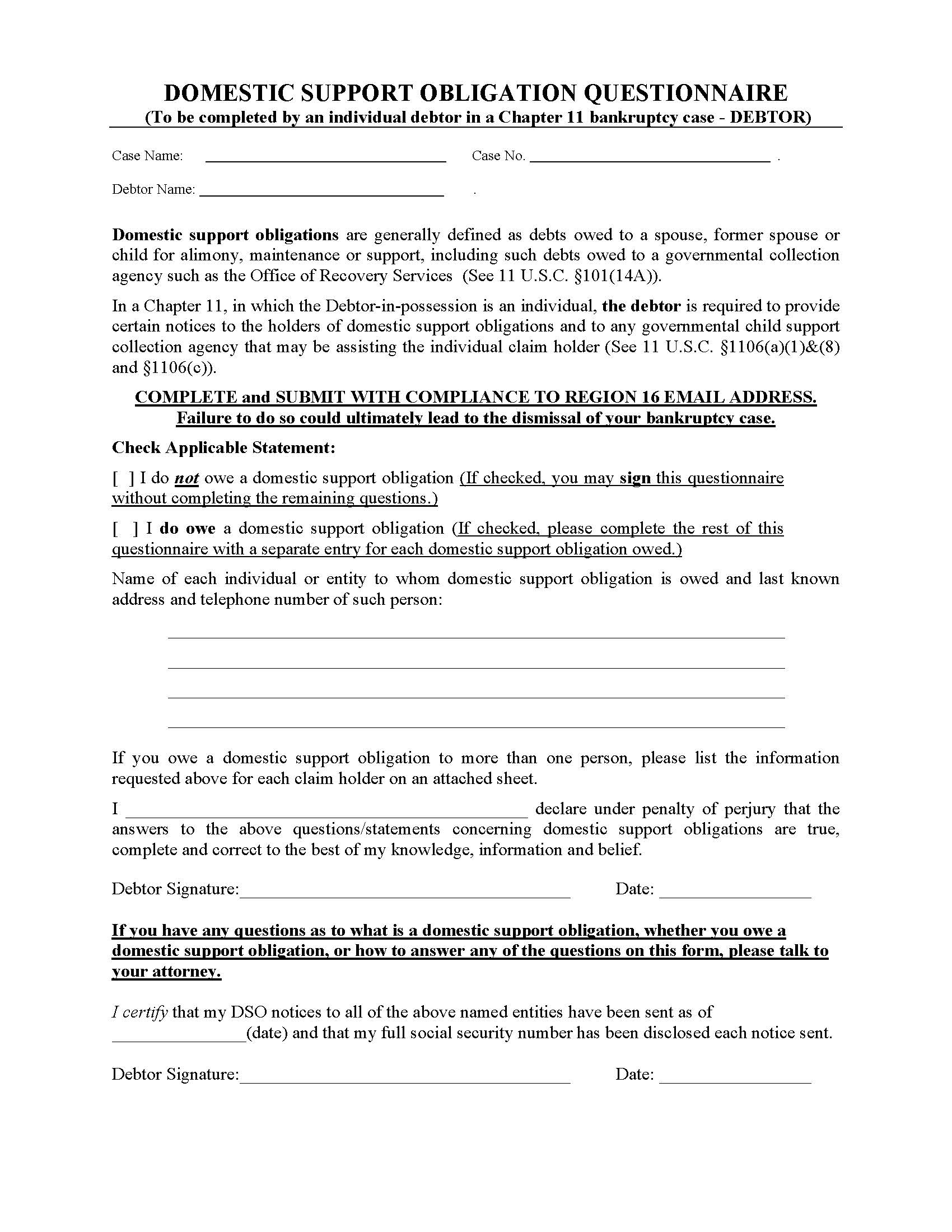
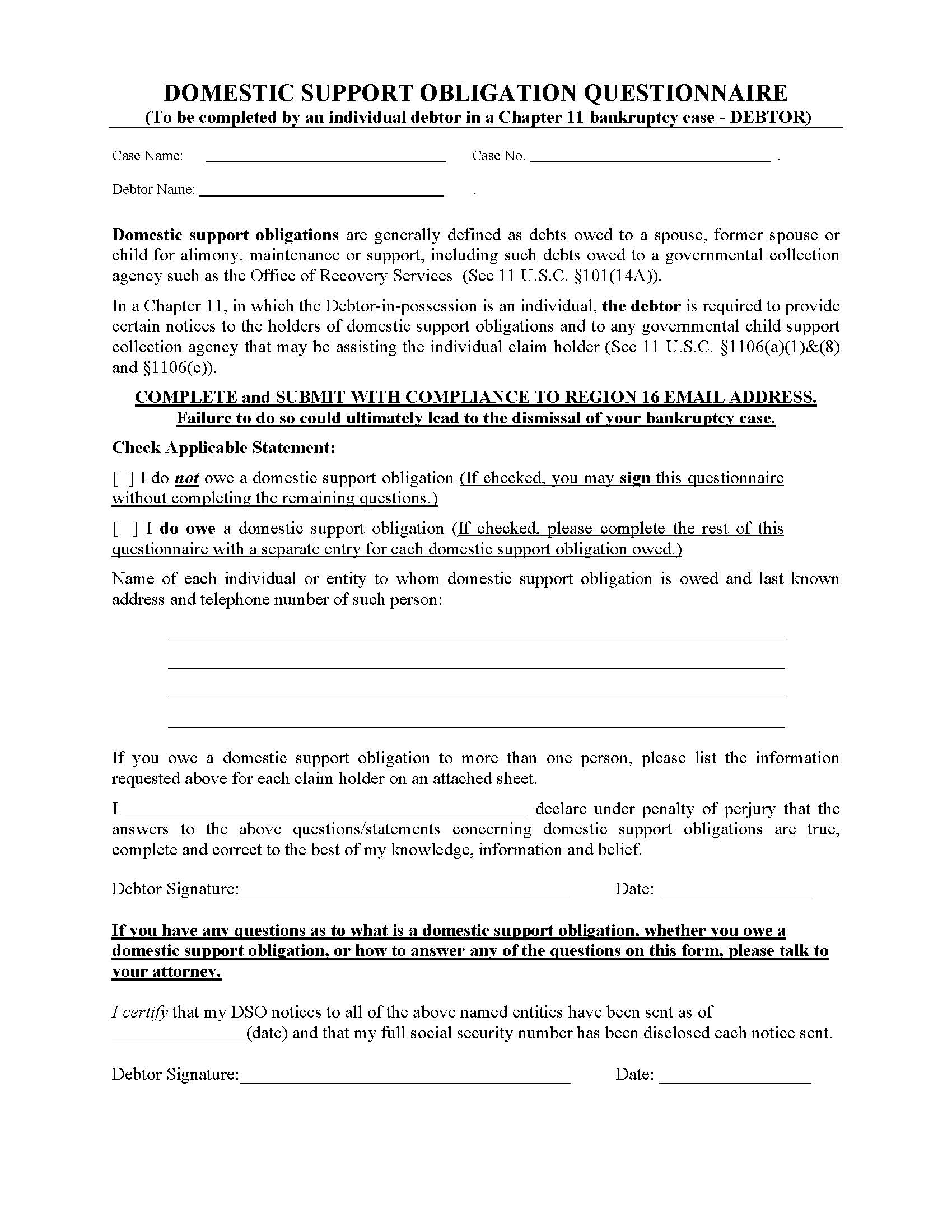
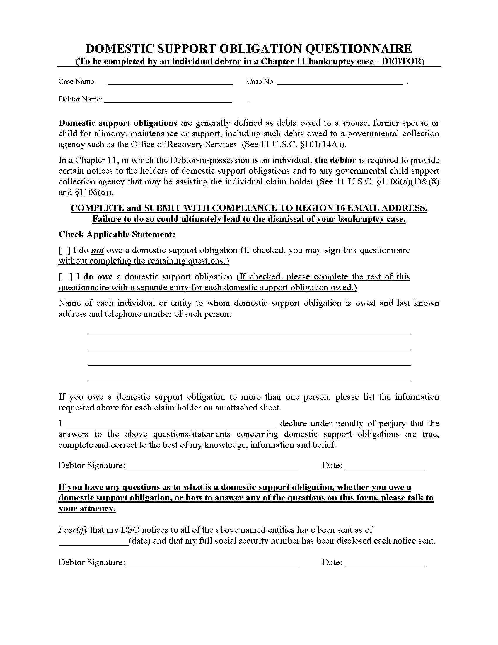
Domestic Support Obligation Questionnaire
Start Your Free Trial $ 40.00What you get:
- Instant access to fillable Microsoft Word or PDF forms.
- Minimize the risk of using outdated forms and eliminate rejected fillings.
- Largest forms database in the USA with more than 80,000 federal, state and agency forms.
- Download, edit, auto-fill multiple forms at once in MS Word using our Forms Workflow Ribbon
- Trusted by 1,000s of Attorneys and Legal Professionals
Description
DOMESTIC SUPPORT OBLIGATION QUESTIONNAIRE (To be completed by an individual debtor in a Chapter 11 bankruptcy case - DEBTOR), Domestic support obligations are generally defined as debts owed to a spouse, former spouse or child for alimony, maintenance or support, including such debts owed to a governmental collection agency such as the Office of Recovery Services (See 11 U.S.C. §101(14A)). In a Chapter 11, in which the Debtor-in-possession is an individual, the debtor is required to provide certain notices to the holders of domestic support obligations and to any governmental child support collection agency that may be assisting the individual claim holder (See 11 U.S.C. §1106(a)(1)&(8) and §1106(c)). www.FormsWorkflow.com





