Last updated: 1/28/2020
Notice Of Election For Trial By Written Declaration (ETBD) And Instructions {TR-206 TR-205.2}
Start Your Free Trial $ 13.99What you get:
- Instant access to fillable Microsoft Word or PDF forms.
- Minimize the risk of using outdated forms and eliminate rejected fillings.
- Largest forms database in the USA with more than 80,000 federal, state and agency forms.
- Download, edit, auto-fill multiple forms at once in MS Word using our Forms Workflow Ribbon
- Trusted by 1,000s of Attorneys and Legal Professionals
Description
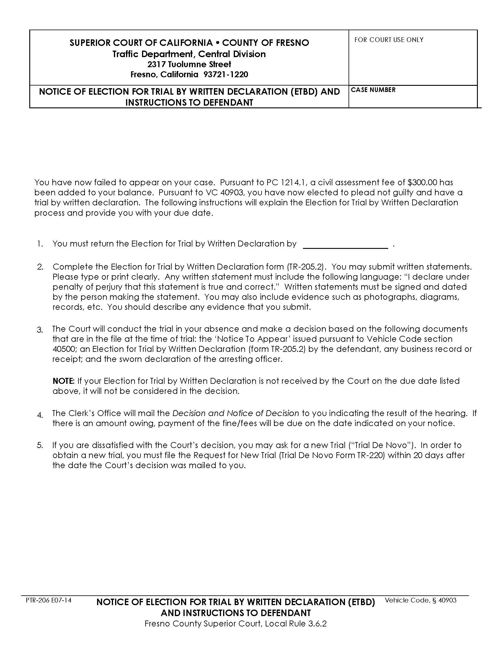
TR-200.1 SUPERIOR COURT OF CALIFORNIA, COUNTY OF FRESNO INSTRUCTIONS TO DEFENDANT (Election for Trial by Written Declaration) (Vehicle Code, Section 40903) Vehicle Code section 40902 allows a defendant to contest citations in writing, without having to make a personal court appearance. This procedure is called a "trial by declaration". Vehicle Code section 40903 provides that a person who fails to appear in court as provided by the Notice to Appear may be deemed to have elected to have a Trial by Written Declaration. Trials by written declaration are available in cases involving infraction violations of the Vehicle Code or of local ordinances adopted under the Vehicle Code. The following instructions tell you how to obtain a trial by written declaration: 1. Completely fill out the Election for Trial by Written Declaration (form TR-205) and sign it (type or print clearly). You may include evidence such as photographs and diagrams. You should also attach your written statement of what happened (type or print clearly). In your statement, you must describe all the items of evidence (if any) that you are including with your request. Your written statement must include the following language: "I declare under penalty of perjury that this statement is true and correct". You must sign and date each written statement (these statements are called "declarations"). Return the completed and signed Election for Trial by Written Declaration and pay the required bail amount to the court. A completed Election for Trial by Written Declaration form and the required bail amount must be received by the clerk by the due date indicated. (See item A on the request form for the due date.) If the clerk receives the form after the due date, you will not be eligible for trial by written declaration. Failure to deposit bail by the due date may subject you to other charges, penalties, assessments, and actions. After the clerk receives the Election for Trial by Written Declaration, the clerk will notify the officer who issued you the citation. The officer will be given an opportunity to submit a declaration regarding the citation by a specified due date. You will be notified by mail of the court's decision. If you are dissatisfied with the court's decision, you may ask for a new trial ("trial de novo"). In order to obtain a new trial, you must file the Request for New Trial (Trial de Novo) (form TR-220) within 20 days after the date the court's decision was mailed to you. Always include your citation number in any correspondence with the court. IMPORTANT: You have the right to an in-person trial before a judge (rather than a trial by written declaration). You also have a right to a new trial if you are dissatisfied with the court's decision in your trial by written declaration. At a court trial you have the following rights: To be represented by an attorney employed by you; To have a speedy and public trial; To testify, to present evidence, and to use court orders without cost to compel the attendance of witnesses and the production of evidence on your behalf; To have witnesses against you testify under oath in court, and to question such witnesses; To remain silent and not testify and incriminate yourself. 2. 3. 4. 5. 6. By filing a declaration in a trial by written declaration, you are waiving and giving up the rights to remain silent and not to incriminate yourself. PTR-200.1 E01-12 Mandatory INSTRUCTIONS TO DEFENDANT (Election for Trial by Written Declaration Traffic Department) Vehicle Code, Section 40903 American LegalNet, Inc. www.FormsWorkFlow.com





