Last updated: 1/13/2020
Citation-Freedom From Parental Custody And Control (Abandonment) (Re Adoption)
Start Your Free Trial $ 13.00What you get:
- Instant access to fillable Microsoft Word or PDF forms.
- Minimize the risk of using outdated forms and eliminate rejected fillings.
- Largest forms database in the USA with more than 80,000 federal, state and agency forms.
- Download, edit, auto-fill multiple forms at once in MS Word using our Forms Workflow Ribbon
- Trusted by 1,000s of Attorneys and Legal Professionals
Description
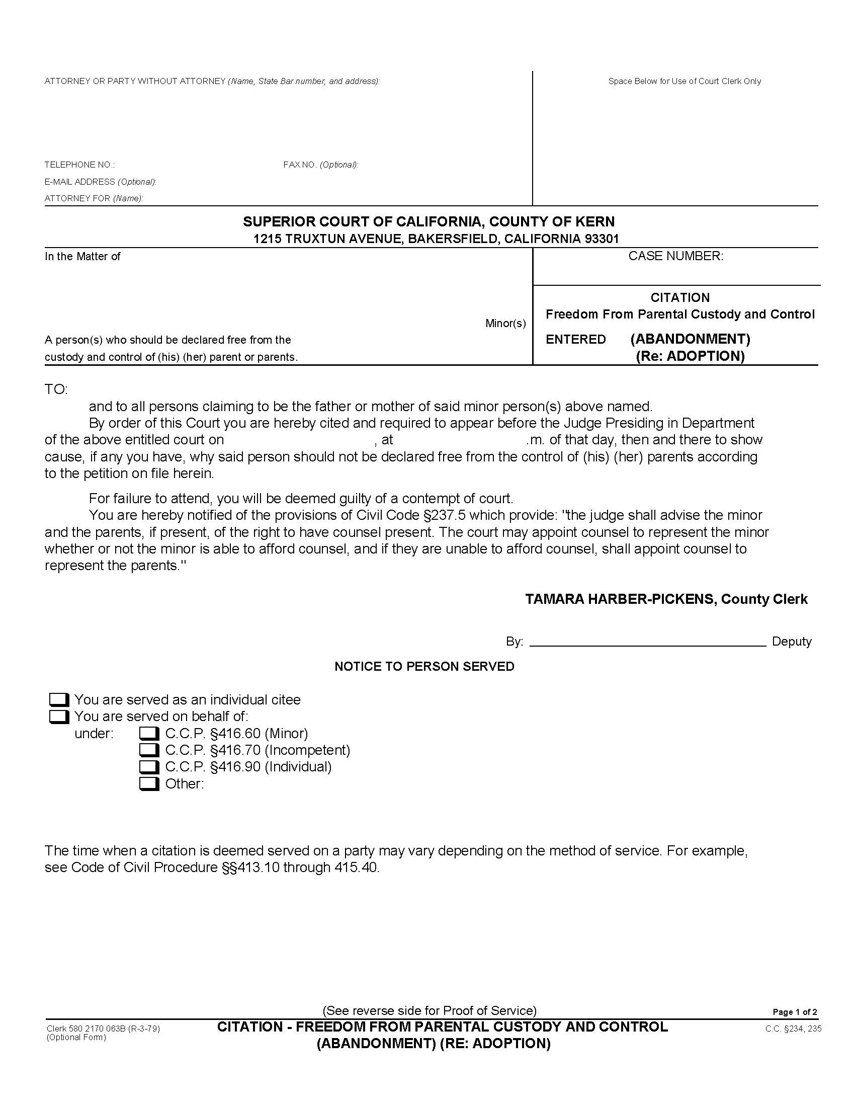
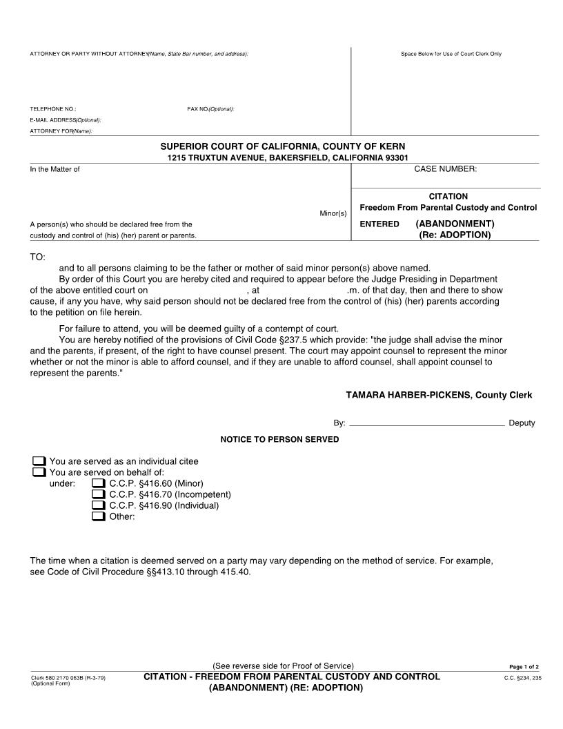
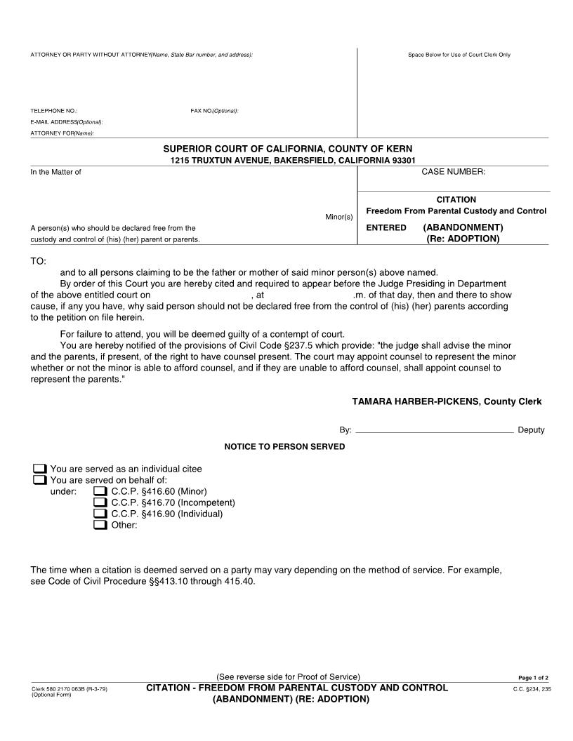
CITATION - FREEDOM FROM PARENTAL CUSTODY AND CONTROL (ABANDONMENT) (RE: ADOPTION). This is a Kern County Superior Court form used in proceedings to declare a minor free from the custody and control of one or both parents due to alleged abandonment. Issued by court order, this citation requires the named parent(s) and any person claiming parental rights to appear in court and show cause why the petition should not be granted. The form includes notice of the right to counsel, including court-appointed counsel if eligible, and provides detailed proof of service requirements under the California Code of Civil Procedure. Optional Form. www.FormsWorkflow.com
Related forms
-
Affidavit For Issuance Of Writ Of Execution And Order
California/Local County/Kern/Civil/ -
Amendment To Complaint Section 474 Ccp
California/Local County/Kern/Civil/ -
Statement Of Classification And Location
California/Local County/Kern/Civil/ -
At-Issue Memorandum
California/2 Local County/Kern/Civil/ -
ADR Stipulation And Order Form
California/2 Local County/Kern/Civil/ -
Petition For Ability-To-Pay Determination (CRC 4.335) And Order
California/2 Local County/Kern/Civil/ -
CRC 5.450-FC6306 Compliance Form
California/2 Local County/Kern/Civil/ -
Citation-Freedom From Parental Custody And Control (Abandonment) (Re Adoption)
California/2 Local County/Kern/Civil/ -
Court Reporter Services Request B A Party With A Fee Waiver
California/2 Local County/Kern/Civil/ -
Declaration Of Diligent Search And Request To Dispense With Notice (Probate)
California/2 Local County/Kern/Civil/ -
Ex Parte Application And Order Confirming Retention Of Marital Surname (Family Law)
California/2 Local County/Kern/Civil/ -
Ex Parte Application For Telephonic Appearance And Order Thereon
California/2 Local County/Kern/Civil/ -
Exemplification
California/2 Local County/Kern/Civil/ -
Return Receipt Received-US Postal Service (Family Law)
California/2 Local County/Kern/Civil/ -
Notice Of Lodging (Family Law)
California/2 Local County/Kern/Civil/ -
Identification Information
California/2 Local County/Kern/Civil/ -
Application For Issuance Of Writ Of Possession Of Real Property
California/2 Local County/Kern/Civil/ -
Notice Of Entry Of Judgment And Proof Of Service By Mail
California/2 Local County/Kern/Civil/ -
Notice Of Motion And Motion For Order Vacating Default
California/2 Local County/Kern/Civil/ -
Post-Arbitration Survey
California/2 Local County/Kern/Civil/ -
Request For Temporary Orders-Notice To Other Party
California/2 Local County/Kern/Civil/ -
Stipulation And Order For Continuance-Temporary Orders And Continuance
California/2 Local County/Kern/Civil/ -
Stipulation To Continue And Order Thereon
California/2 Local County/Kern/Civil/ -
Writ Of Execution-Attachment 20
California/2 Local County/Kern/Civil/ -
Electronic-Traditional Writ Declration
California/2 Local County/Kern/Civil/ -
Appointment Of Official Reporter Pro Tempore
California/2 Local County/Kern/Civil/ -
Court-Approved Official Reporter Pro Tempore Agreement
California/2 Local County/Kern/Civil/ -
FCS Stepparent Questionnaire
California/2 Local County/Kern/Civil/ -
FCS Abandonment Questionnaire
California/2 Local County/Kern/Civil/ -
Confidential-Party Identification And Notice Of Related Case(s)
California/2 Local County/Kern/Civil/ -
Guardianship Questionnaire
California/2 Local County/Kern/Civil/ -
Mediation Informed Consent And Questionnaire (FCS)
California/2 Local County/Kern/Civil/ -
Child Custody (Evaluation) Questionnaire
California/2 Local County/Kern/Civil/ -
Minor Marriages Questionnaire
California/2 Local County/Kern/Civil/ -
Guardianship Questionnaire
California/2 Local County/Kern/Civil/ -
Civil Harassment Law Enforcement Information
California/2 Local County/Kern/Civil/ -
Sister State Judgment
California/2 Local County/Kern/Civil/ -
Request To Set Prove Up Hearing-Default Setting For Civil Cases
California/Local County/Kern/Civil/ -
Notice And Stipulation To Temporary Judge Ruling On Ex Parte Application
California/Local County/Kern/Civil/ -
Request And Order For Audio Stream Or Video Remote Access Non-Party
California/Local County/Kern/Civil/ -
Guardianship Termination Objection Questionnaire
California/Local County/Kern/Civil/ -
Request To Cancel An Interpreter
California/Local County/Kern/Civil/ -
Interpreter Request Form (Court Interpreter Services)
California/Local County/Kern/Civil/ -
Stipulation And Order For Appointment Of Privately Compensated Temporary Judge
California/Local County/Kern/Civil/ -
Appointment Termination Or Resignation Of Supporter
California/Local County/Kern/Civil/ -
Referral For Investigators Report
California/2 Local County/Kern/Civil/ -
Request For Access To Court Security Camera Video
California/Local County/Kern/Civil/ -
Unclaimed Funds Instructions And Forms
California/2 Local County/Kern/Civil/
Form Preview
Contact Us
Success: Your message was sent.
Thank you!




