Last updated: 3/9/2020
Resignation Of Registered Agent For An Alien Business Organization {INHS70}
Start Your Free Trial $ 13.99What you get:
- Instant access to fillable Microsoft Word or PDF forms.
- Minimize the risk of using outdated forms and eliminate rejected fillings.
- Largest forms database in the USA with more than 80,000 federal, state and agency forms.
- Download, edit, auto-fill multiple forms at once in MS Word using our Forms Workflow Ribbon
- Trusted by 1,000s of Attorneys and Legal Professionals
Description
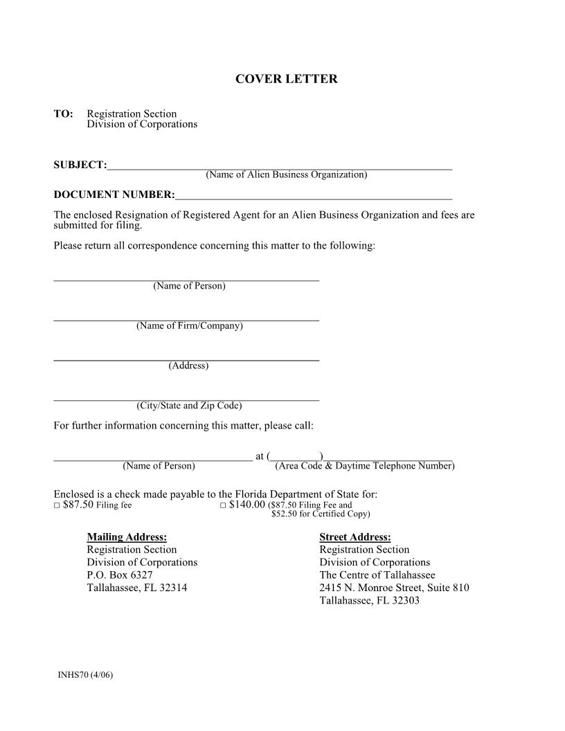
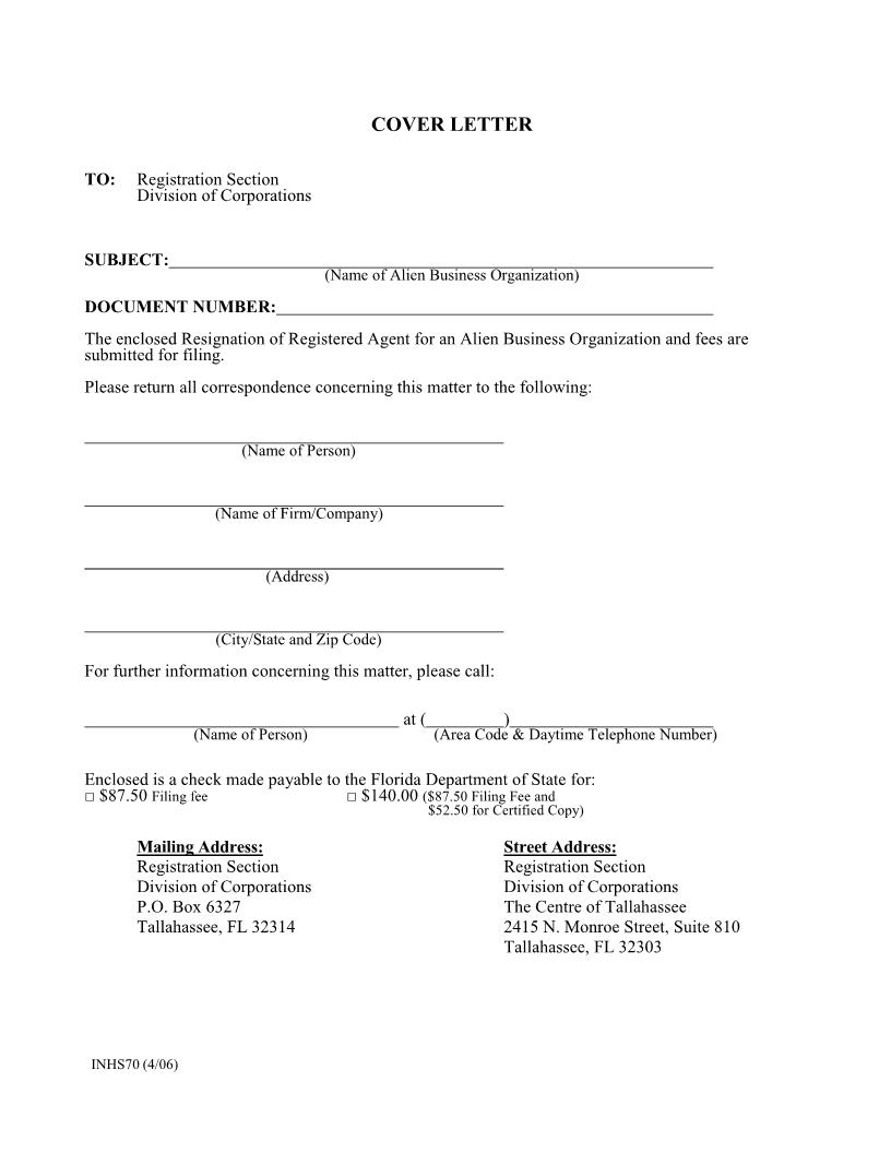
COVER LETTER TO: Registration Section Division of Corporations SUBJECT: DOCUMENT NUMBER: (Name of Alien Business Organization) The enclosed Resignation of Registered Agent for an Alien Business Organization and fees are submitted for filing. Please return all correspondence concerning this matter to the following: (Name of Person) (Name of Firm/Company) (Address) (City/State and Zip Code) For further information concerning this matter, please call: at ( ) (Name of Person) (Area Code & Daytime Telephone Number) Enclosed is a check made payable to the Florida Department of State for: $87.50 Filing fee $140.00 ($87.50 Filing Fee and $52.50 for Certified Copy) Mailing Address: Registration Section Division of Corporations P.O. Box 6327 Tallahassee, FL 32314 Street Address: Registration Section Division of Corporations Clifton Building 2661 Executive Center Circle Tallahassee, FL 32301 INHS70 (4/06) American LegalNet, Inc. www.FormsWorkflow.com FLORIDA DEPARTMENT OF STATE DIVISION OF CORPORATIONS RESIGNATION OF REGISTERED AGENT FOR AN ALIEN BUSINESS ORGANIZATION Pursuant to the provisions of section 607.0502(2) Florida Statutes, the undersigned, (Name of Registered Agent) hereby resigns as Registered Agent for (Name of Alien Business Organization) , (Document Number, if known) A copy of this resignation was mailed to the above listed alien business organization at its last known address. The agency is terminated and the office discontinued on the 31st day after the date on which this statement is filed. (Signature of Resigning Agent) If signing on behalf of an entity: (Typed or Printed Name) (Capacity) Filing Fee: $87.50 Certified Copy: $52.50 Make checks payable to Florida Department of State and mail to: Division of Corporations P.O. Box 6327 Tallahassee, FL 32314 American LegalNet, Inc. www.FormsWorkflow.com





