Michigan
Federal
USBC Eastern
200 Ratings
Last updated: 1/8/2020
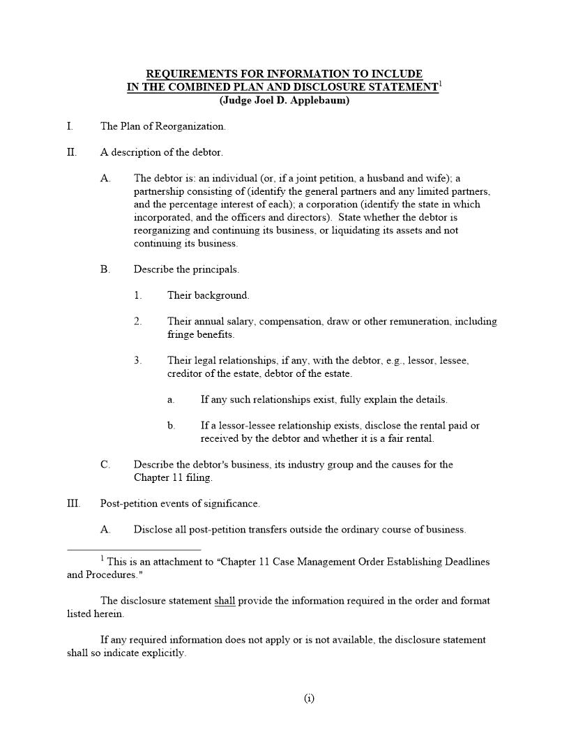
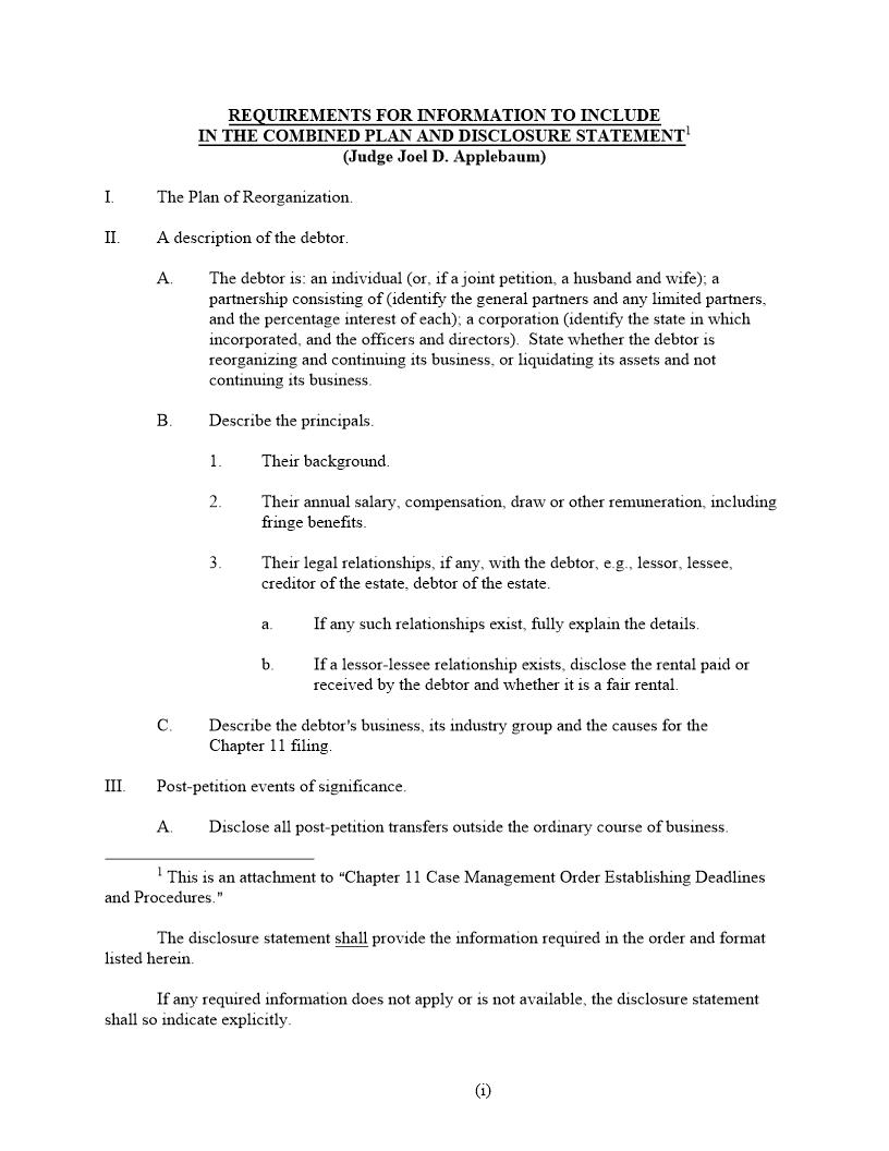
Combined Plan and Disclosure Statement (Judge Applebaum)
Start Your Free Trial $ 14.00What you get:
- Instant access to fillable Microsoft Word or PDF forms.
- Minimize the risk of using outdated forms and eliminate rejected fillings.
- Largest forms database in the USA with more than 80,000 federal, state and agency forms.
- Download, edit, auto-fill multiple forms at once in MS Word using our Forms Workflow Ribbon
- Trusted by 1,000s of Attorneys and Legal Professionals
Description
null
Related forms
-
Bankruptcy Petition Cover Sheet
Michigan/Federal/USBC Eastern/ -
Report Of Parties Rule 26(f) Conference
Michigan/Federal/USBC Eastern/ -
Statement Of Debtor Regarding Corporate Ownership
Michigan/Federal/USBC Eastern/ -
Statement Of Petition Preparer Pursuant to FRBP 2016(c)
Michigan/Federal/USBC Eastern/ -
Statement Regarding Corporate Ownership (Adversary Proceedings)
Michigan/Federal/USBC Eastern/ -
Declaration Under Penalty of Perjury for Debtor(s) Without an Attorney
Michigan/Federal/USBC Eastern/ -
Notice of Motion or Objection (Form 20A)
Michigan/Federal/USBC Eastern/ -
Notice of Objection to Claim (revised Official Form 20B)
Michigan/Federal/USBC Eastern/ -
Writ of Execution Against Property Form
Michigan/Federal/USBC Eastern/ -
Chapter 13 Model Worksheet - LBR 3015-1(b)2
Michigan/Federal/USBC Eastern/ -
Combined Plan and Disclosure Statement (Judge Tucker)
Michigan/Federal/USBC Eastern/ -
Combined Plan And Disclosure Statement Information And Forms (Judge Opperman)
Michigan/Federal/USBC Eastern/ -
Order Confirming Chapter 13 Plan
Michigan/Federal/USBC Eastern/ -
Statement Of Attorney For Debtors Pursuant To FRBP 2016(b) (Must be used pursuant to L.B.R. 9010-1(c) and (d))
Michigan/Federal/USBC Eastern/ -
Notice Of Deadline To Object To Proposed Chapter 13 Plan Modification
Michigan/Federal/USBC Eastern/ -
Order Excusing Entry Of Thrid Party Payment Order And Order To Debtor To Remit Payments
Michigan/Federal/USBC Eastern/ -
Payment Order
Michigan/Federal/USBC Eastern/ -
Trustees Report Of Undisclosed Asset
Michigan/Federal/USBC Eastern/ -
Stipulation Excusing Entry Of Third Party Payment Order And Order To Debtor To Remit Payment
Michigan/Federal/USBC Eastern/ -
Certificate Regarding Domestic Support Obligations
Michigan/Federal/USBC Eastern/ -
Cover Sheet For Motion To Use Cash
Michigan/Federal/USBC Eastern/ -
Notice Of Filing Disclosure Statement With Opportunity To Respond
Michigan/Federal/USBC Eastern/ -
Chapter 13 Plan
Michigan/Federal/USBC Eastern/ -
Combined Plan And Disclosure Statement Information And Forms (Judge Randon)
Michigan/Federal/USBC Eastern/ -
Cover Sheet For Motion To Approve Sale Procedures
Michigan/Federal/USBC Eastern/ -
Debtors Motion Requesting Mortgage Modification Review
Michigan/Federal/USBC Eastern/ -
Order Appointing Mediator In An Adversary Proceeding
Michigan/Federal/USBC Eastern/ -
Order Appointing Mediator In A Contested Bankruptcy Matter
Michigan/Federal/USBC Eastern/ -
Mediators Certification
Michigan/Federal/USBC Eastern/ -
Debtors Chapter 13 Confirmation Hearing Certificate
Michigan/Federal/USBC Eastern/ -
Combined Plan and Disclosure Statement (Judge Applebaum)
Michigan/3 Federal/USBC Eastern/ -
Combined Plan and Disclosure Statement (Judge Oxholm)
Michigan/3 Federal/USBC Eastern/ -
Notice Of Debtor(s) Address Change
Michigan/Federal/USBC Eastern/ -
Order For Payment Of Unclaimed Funds
Michigan/Federal/USBC Eastern/ -
Affidavit Of Claimant
Michigan/Federal/USBC Eastern/ -
Bankruptcy Matter Civil Case Cover Sheet
Michigan/3 Federal/USBC Eastern/ -
Combined Plan And Disclosure Statement Information And Forms (Judge Gretchko)
Michigan/Federal/USBC Eastern/ -
Notice Of Creditor Address Change
Michigan/Federal/USBC Eastern/ -
Order Granting Debtors Motion Requesting Mortgage Modification Review
Michigan/Federal/USBC Eastern/ -
Application For Pro Bono Attorney
Michigan/Federal/USBC Eastern/ -
Application For Payment From Unclaimed Funds
Michigan/Federal/USBC Eastern/ -
Certificate Of Service
Michigan/Federal/USBC Eastern/ -
Cover Sheet For Amendments
Michigan/Federal/USBC Eastern/ -
Debtors Electronic Noticing Request (DeBN)
Michigan/Federal/USBC Eastern/ -
Proof Of Service Of Application For Payment From Unclaimed Funds (Bay City)
Michigan/Federal/USBC Eastern/ -
Proof Of Service Of Application For Payment From Unclaimed Funds (Detroit)
Michigan/Federal/USBC Eastern/ -
Proof Of Service Of Application For Payment From Unclaimed Funds (Flint)
Michigan/Federal/USBC Eastern/ -
Transcript Order Form
Michigan/Federal/USBC Eastern/ -
Combined Plan And Disclosure Statement (Judge Hage)
Michigan/Federal/USBC Eastern/
Form Preview
Sorry, we couldn't download the pdf file.
Our Products
Contact Us
Success: Your message was sent.
Thank you!




