Last updated: 9/30/2019
School Violence Prevention Program Motion Order Disposition {JD-JM-134}
Start Your Free Trial $ 13.99What you get:
- Instant access to fillable Microsoft Word or PDF forms.
- Minimize the risk of using outdated forms and eliminate rejected fillings.
- Largest forms database in the USA with more than 80,000 federal, state and agency forms.
- Download, edit, auto-fill multiple forms at once in MS Word using our Forms Workflow Ribbon
- Trusted by 1,000s of Attorneys and Legal Professionals
Description
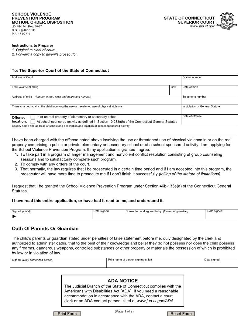
SCHOOL VIOLENCE PREVENTION PROGRAM MOTION, ORDER, DISPOSITION JD-JM-134 Rev. 6-06, C.G.S. § 46b-133e INSTRUCTIONS TO PREPARER 1. Original to clerk of court. 2. Forward a copy to juvenile prosecutor. STATE OF CONNECTICUT SUPERIOR COURT www.jud.ct.gov TO: The Superior Court of the State of Connecticut ADDRESS OF COURT FROM (Name of child) ADDRESS OF CHILD (Number, street, town and apt. no.) CRIME CHARGED AGAINST THE CHILD INVOLVING USE/THREATENED USE OF PHYSICAL VIOLENCE SEX DOCKET NO. DATE OF BIRTH TELEPHONE NO. IN VIOLATION OF GENERAL STATUTE DATE OF OFFENSE OFFENSE LOCATION: IN OR ON REAL PROPERTY OF ELEMENTARY OR SECONDARY SCHOOL AT SCHOOL-SPONSORED ACTIVITY AS DEFINED IN C.G.S. §10-233a(h). SPECIFY NAME AND ADDRESS OF SCHOOL AND DESCRIPTION AND LOCATION OF SCHOOL-SPONSORED ACTIVITY The child charged with the above-noted offense involving the use or threatened use of physical violence in or on the real property comprising a public or private elementary or secondary school or at a school-sponsored activity as defined in subsection (h) of section 10-233a of the general statutes, as specified above hereby applies for participation in the School Violence Prevention Program and agrees, if this application is granted: 1. To participate in a program of anger management and nonviolent conflict resolution consisting of at least eight group counseling sessions and to satisfactorily complete such program. 2. To comply with any orders of the court. 3. To the tolling of the statute of limitations. 4. My parent or guardian will pay the cost of participation in such program unless my parent or guardian files with the court an affidavit of indigency or inability to pay and the court enters a finding thereof. ("X" one of the following) My parent or guardian intends to claim indigency or inability to pay and has filed an affidavit of indigency. OR My parent or guardian intends to pay the statutory program fee. Wherefore, the undersigned request that the child be granted the School Violence Prevention Program in accordance with C.G.S. § 46b-133e(a). I have read this application in its entirety and understand it. SIGNED (Child) DATE SIGNED CONSENTED AND AGREED TO BY (Parent or guardian) DATE SIGNED X OATH OF PARENTS OR GUARDIAN The child's parents or guardian stated under penalties of false statement before me, duly designated by the clerk and authorized to administer oaths, that to the best of said parents or guardian's knowledge and belief they do not possess nor does such child possess any firearms, dangerous weapons, controlled substances or other property or materials the possession of which is prohibited by law or in violation of law. SIGNED (Duly authorized person) PRINT NAME OF PERSON SIGNING AT LEFT DATE SIGNED ORDER OF COURT ("X" ALL THAT APPLY) The foregoing motion is denied. The foregoing motion is granted and the pending delinquency proceeding is hereby suspended for a period of one year. The child shall be placed under the supervision of a juvenile probation officer for placement in a school violence prevention program. The juvenile probation officer will monitor compliance with the program and maintain contact with officials of the child's school. The court denies the application for waiver of fees and the child's parent or guardian is ordered to pay to the program provider the cost of participation on such program. The court waives the fee having found that the child's parent or guardian is indigent or unable to pay. CASE CONTINUED TO (Date and time) SIGNED (Judge, assistant clerk) DATE SIGNED PAGE 1 OF 2 American LegalNet, Inc. www.USCourtForms.com FINAL PROGRESS REPORT The child: ("X" one only). HAS satisfactorily completed the assigned program. DISPOSITION Program satisfactorily completed, complied with other conditions of suspension, one year has elapsed since the child was in the program and charges are dismissed. Program not satisfactorily completed, suspension of delinquency proceedings terminated and case to be placed back on the regular delinquency docket. HAS NOT satisfactorily completed the assigned program. SIGNED (Juvenile Probation Officer) DATE SIGNED SIGNED (Judge, assistant clerk) DATE SIGNED JD-JM-134 (Back/page 2) Rev. 6-06 PAGE 2 OF 2 American LegalNet, Inc. www.USCourtForms.com





