Last updated: 5/3/2019
Affidavit Of Attorney In Fact (POA)
Start Your Free Trial $ 13.99What you get:
- Instant access to fillable Microsoft Word or PDF forms.
- Minimize the risk of using outdated forms and eliminate rejected fillings.
- Largest forms database in the USA with more than 80,000 federal, state and agency forms.
- Download, edit, auto-fill multiple forms at once in MS Word using our Forms Workflow Ribbon
- Trusted by 1,000s of Attorneys and Legal Professionals
Description
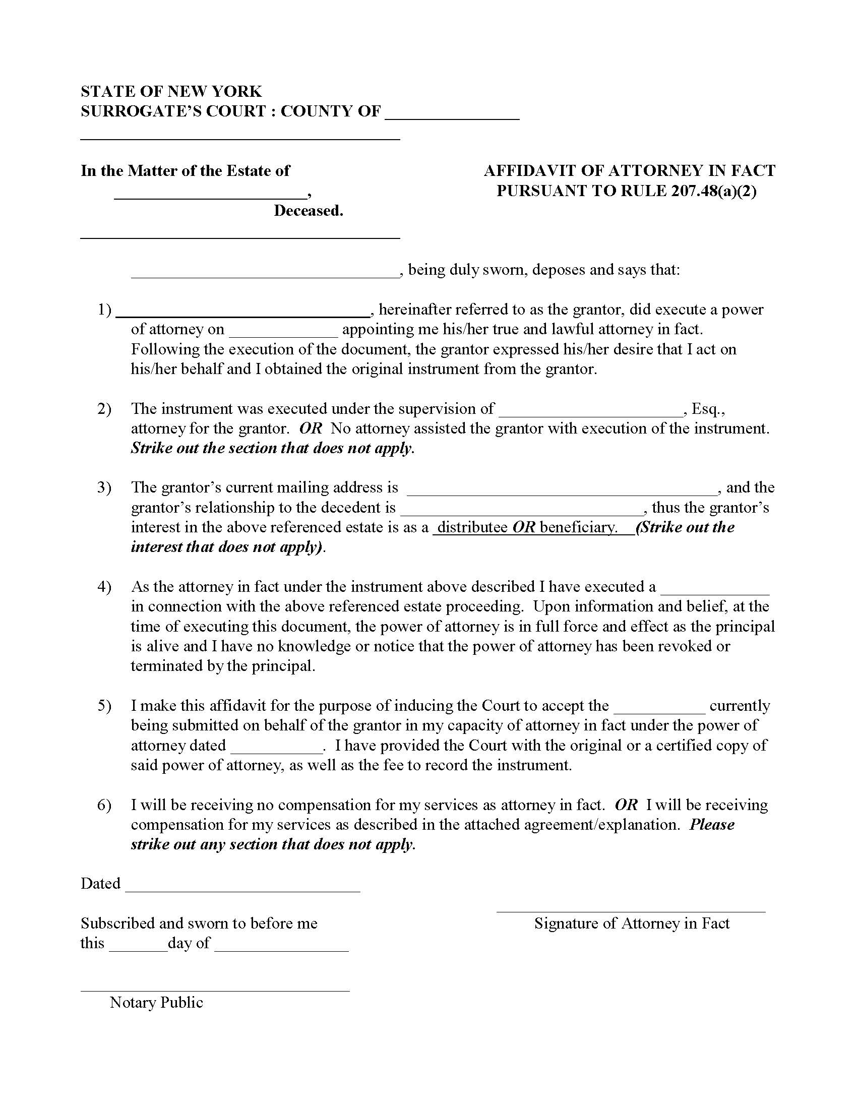
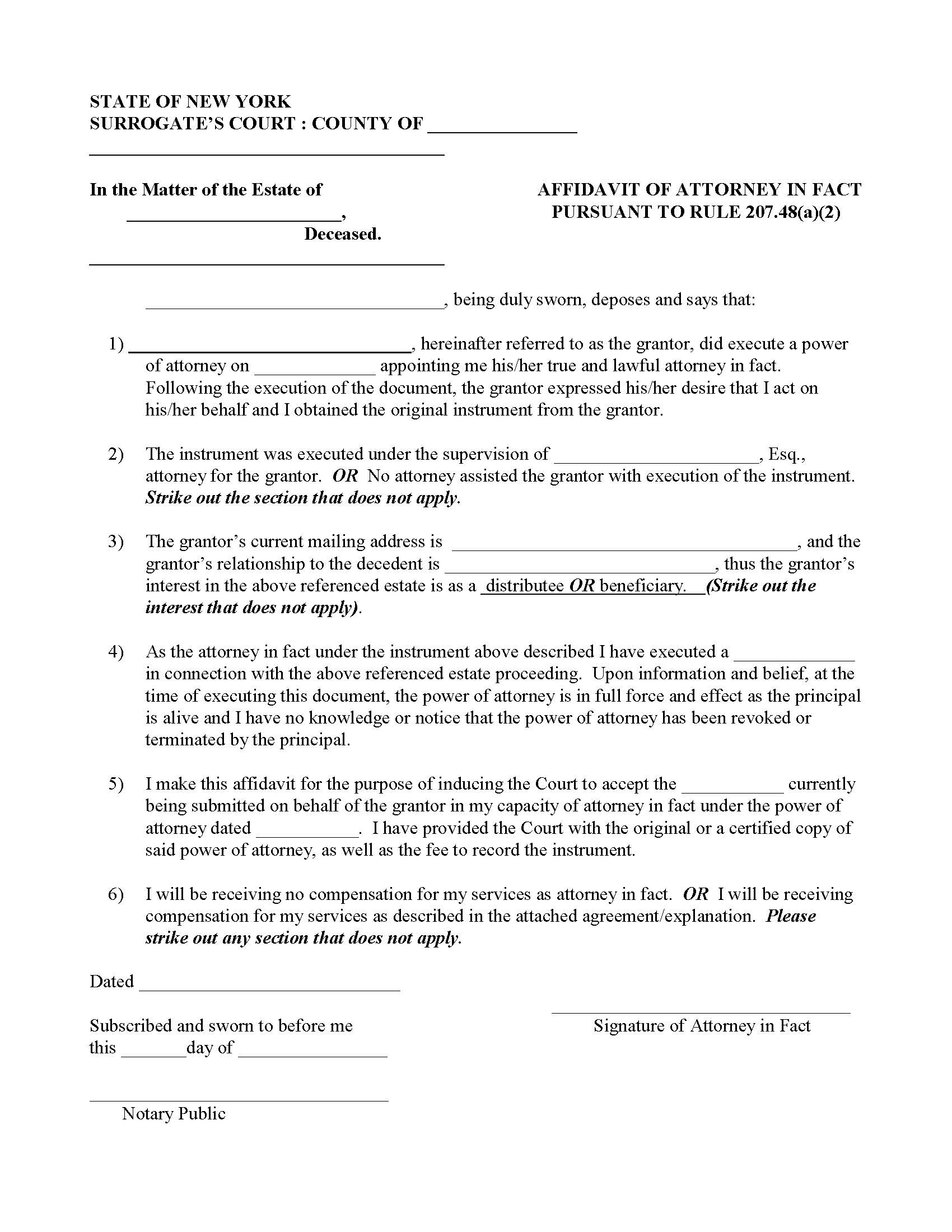
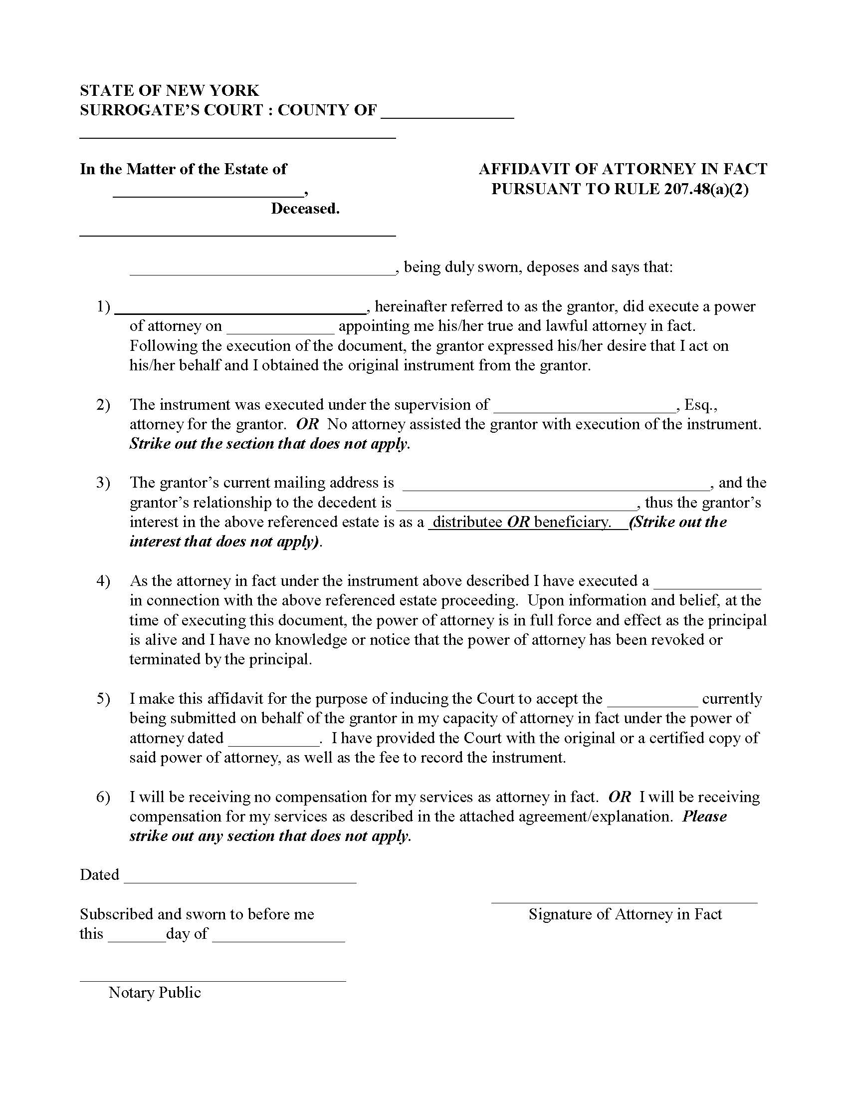
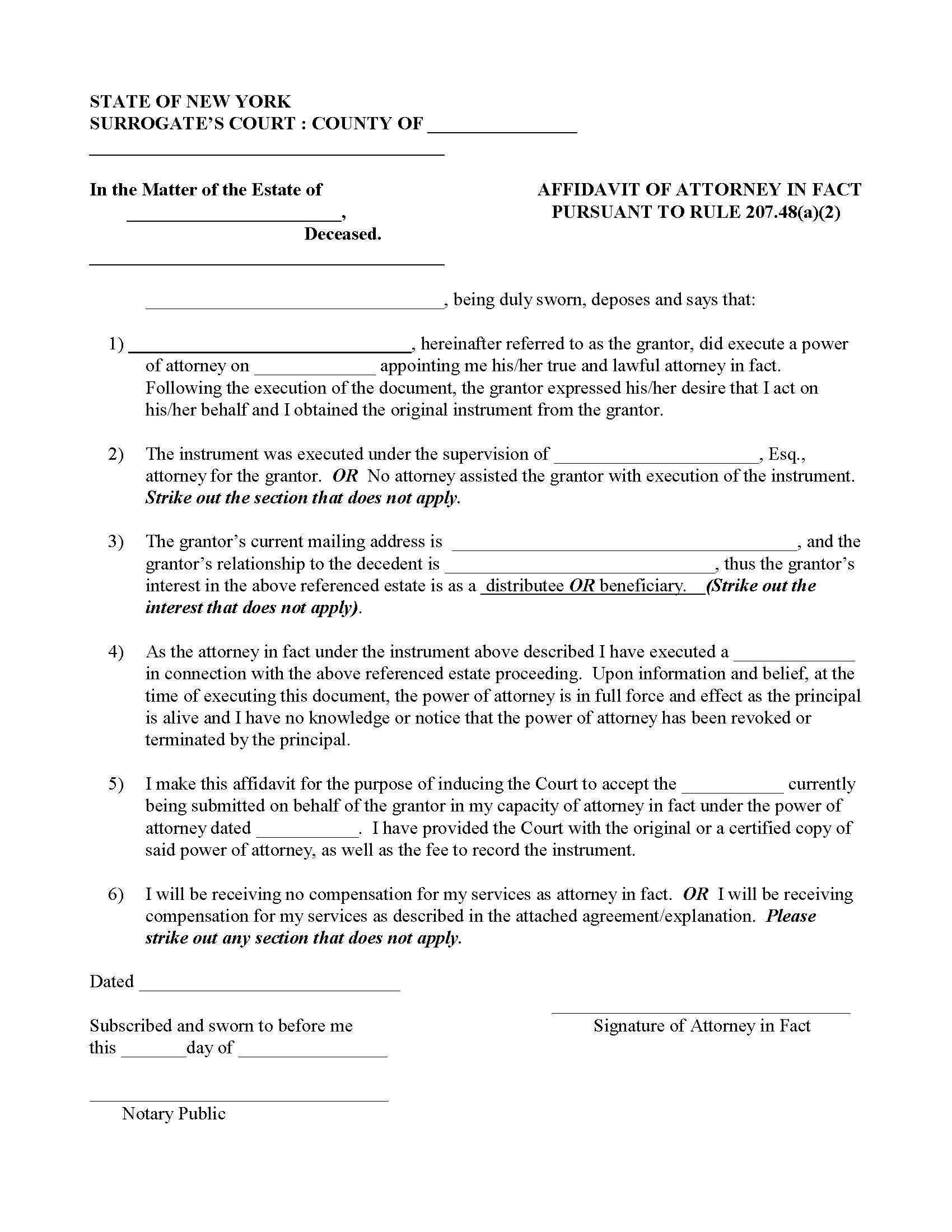
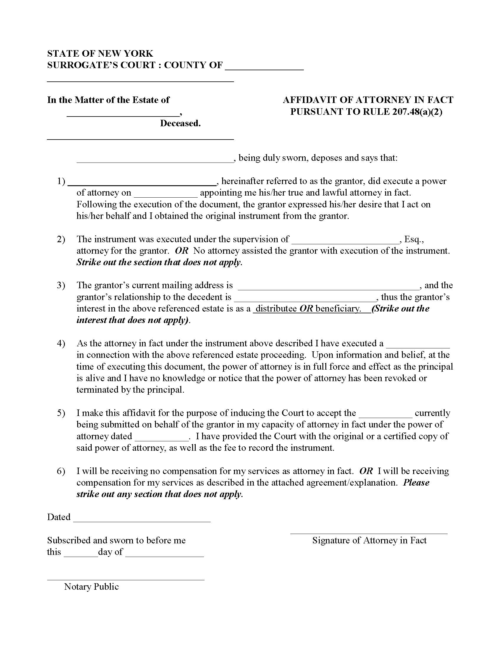
AFFIDAVIT OF ATTORNEY IN FACT , PURSUANT TO RULE 207.48(a)(2). This is a required filing in New York Surrogate’s Court when an individual acts on behalf of a distributee or beneficiary under a Power of Attorney (POA) in an estate proceeding. This affidavit is sworn by the attorney-in-fact—the person authorized to act under the POA—and confirms the validity and continued effectiveness of the power of attorney at the time of use. It identifies the grantor (principal), states when and under whose supervision the POA was executed, and outlines the grantor’s relationship to the decedent (as a distributee or beneficiary). The form also affirms that the principal is alive, that the POA has not been revoked, and that the attorney-in-fact has submitted the original or certified copy of the POA for recording along with any required fees. The affidavit must be notarized and may specify whether the attorney-in-fact is receiving compensation for their services. www.FormsWorkflow.com
Related forms
-
Admission Of Service (Surrogates Court)
New York/Local County/6th Judicial District/Surrogates Court (Broome)/ -
Affidavit Concerning Deliverability Of Process By Mail
New York/Local County/6th Judicial District/Surrogates Court (Broome)/ -
Affidavit Fiduciary Qualification Estate
New York/Local County/6th Judicial District/Surrogates Court (Broome)/ -
Affidavit Fiduciary Qualification Guardianship
New York/Local County/6th Judicial District/Surrogates Court (Broome)/ -
Affidavit For Service Of Process By Mail
New York/Local County/6th Judicial District/Surrogates Court (Broome)/ -
Affidavit Of Attorney In Fact (POA)
New York/Local County/6th Judicial District/Surrogates Court (Broome)/ -
Affidavit Of Sole Heirship
New York/Local County/6th Judicial District/Surrogates Court (Broome)/ -
Affirmation Of Services Guardian Ad Litem
New York/Local County/6th Judicial District/Surrogates Court (Broome)/ -
Assets And Debts
New York/Local County/6th Judicial District/Surrogates Court (Broome)/ -
Consent To No Bond Regarding Life Use
New York/Local County/6th Judicial District/Surrogates Court (Broome)/ -
Consent To Reduce Bond
New York/Local County/6th Judicial District/Surrogates Court (Broome)/ -
General Guardians Annual Account Short Form
New York/Local County/6th Judicial District/Surrogates Court (Broome)/ -
Guardianship Social Security
New York/Local County/6th Judicial District/Surrogates Court (Broome)/ -
Notice Of Appearance
New York/Local County/6th Judicial District/Surrogates Court (Broome)/ -
Petition For Guardianship Termination Revocation Modification
New York/Local County/6th Judicial District/Surrogates Court (Broome)/ -
Petition To Close Approval Of Release Waiver SCPA 2203
New York/Local County/6th Judicial District/Surrogates Court (Broome)/ -
Petition To Invest Funds
New York/Local County/6th Judicial District/Surrogates Court (Broome)/ -
Report Of Estate Not Fully Distributed
New York/Local County/6th Judicial District/Surrogates Court (Broome)/ -
Statement Identifying Real Property
New York/Local County/6th Judicial District/Surrogates Court (Broome)/ -
Supplemental Citation Request And Order
New York/Local County/6th Judicial District/Surrogates Court (Broome)/ -
Petition To Close Supplemental Needs Trust
New York/3 Local County/6th Judicial District/Surrogates Court (Broome)/ -
Affidavit To Reopen Estate
New York/3 Local County/6th Judicial District/Surrogates Court (Broome)/ -
Statement Of Death Of Incapacitated Person
New York/3 Local County/6th Judicial District/Surrogates Court (Broome)/ -
81.21 (e) Findings (Transfers Of Incapacitated Persons Property)
New York/3 Local County/6th Judicial District/Surrogates Court (Broome)/ -
Oath And Designation (Guardianship)
New York/3 Local County/6th Judicial District/Surrogates Court (Broome)/ -
Findings (Guardianship)
New York/3 Local County/6th Judicial District/Surrogates Court (Broome)/ -
Order To Show Cause (Guardianship)
New York/3 Local County/6th Judicial District/Surrogates Court (Broome)/ -
Commission To Guardian
New York/3 Local County/6th Judicial District/Surrogates Court (Broome)/ -
Notice Of Guardianship Proceeding
New York/3 Local County/6th Judicial District/Surrogates Court (Broome)/ -
Order To Invest
New York/3 Local County/6th Judicial District/Surrogates Court (Broome)/ -
Order And Judgment Appointing Guardian Of Person And Property
New York/3 Local County/6th Judicial District/Surrogates Court (Broome)/ -
Custodian Agreement For Guardianship Account
New York/3 Local County/6th Judicial District/Surrogates Court (Broome)/ -
Guardian Ad Litem Report
New York/3 Local County/6th Judicial District/Surrogates Court (Broome)/ -
Affidavit Of Service Of Process (Probate)
New York/Local County/th Judicial District/Surrogates Court (Broome)/ -
Citation (Probate)
New York/Local County/th Judicial District/Surrogates Court (Broome)/ -
Investment Management Agreement For Guardianship Account
New York/Local County/th Judicial District/Surrogates Court (Broome)/ -
Affirmation (CPLR 2106)
New York/Local County/th Judicial District/Surrogates Court (Broome)/
Form Preview
Contact Us
Success: Your message was sent.
Thank you!




