Last updated: 11/20/2018
Declaration Regarding Service Members Civil Relief Act {JU 11.0700}
Start Your Free Trial $ 13.99What you get:
- Instant access to fillable Microsoft Word or PDF forms.
- Minimize the risk of using outdated forms and eliminate rejected fillings.
- Largest forms database in the USA with more than 80,000 federal, state and agency forms.
- Download, edit, auto-fill multiple forms at once in MS Word using our Forms Workflow Ribbon
- Trusted by 1,000s of Attorneys and Legal Professionals
Description
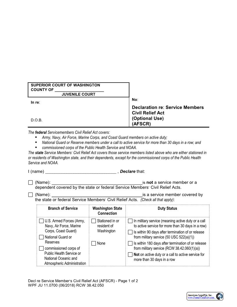
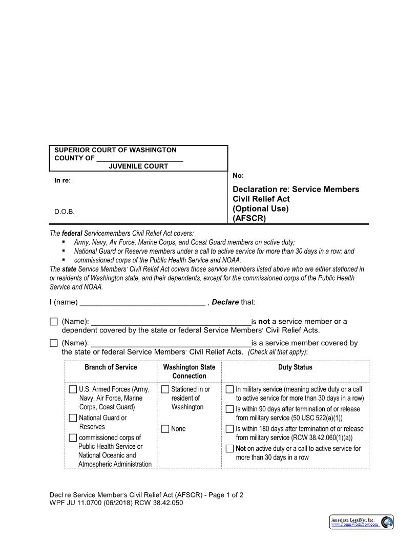
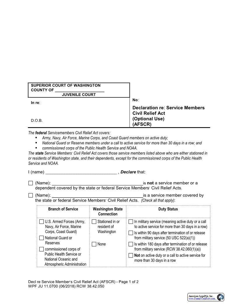
Decl re Service Member222s Civil Relief Act (AFSCR) - Page 1 of 2 WPF JU 11.0700 (06/2018) RCW 38.42.050 SUPERIOR COURT OF WASHINGTON COUNTY OF JUVENILE COURT In re: D.O.B. No : Declaration re: Service Members Civil Relief Act (Optional Use) (AFSCR) The federal Servicemembers Civil Relief Act covers: Army, Navy, Air Force, Marine Corps, and Coast Guard members on active duty; National Guard or Reserve members under a call to active service for more than 30 days in a row; and commissioned corps of the Public Health Service and NOAA. The state Service Members222 Civil Relief Act covers those service members listed above who are either stationed in or residents of Washington state, and their dependents, except for the commissioned corps of the Public Health Service and NOAA. I (name) , Declare that: (Name): is not a service member or a dependent covered by the state or federal Service Members222 Civil Relief Acts. (Name): is a service member covered by the state or federal Service Members222 Civil Relief Acts. (Check all that apply): Branch of Service Washington State Connection Duty Status U.S. Armed Forces (Army, Navy, Air Force, Marine Corps, Coast Guard) National Guard or Reserves commissioned corps of Public Health Service or National Oceanic and Atmospheric Administration Stationed in or resident of Washington None In military service (meaning active duty or a call to active service for more than 30 days in a row) Is within 90 days after termination of or release from military service (50 USC 522(a)(1)) Is within 180 days after termination of or release from military service (RCW 38.42.060(1)(a)) Not on active duty or a call to active service for more than 30 days in a row American LegalNet, Inc. www.FormsWorkFlow.com Decl re Service Member222s Civil Relief Act (AFSCR) - Page 2 of 2 WPF JU 11.0700 (06/2018) RCW 38.42.050 (Name): is a dependent of (name): , who is a service member covered by the state Service Members222 Civil Relief Act and who is under a call to active service for more than 30 days in a row. (Dependent means a spouse, child under 18, or other person who got at least 50% of his/her financial support from a covered service member.) I know this because (check all that apply): The attached report from the Defense Manpower Data Center (DMDC) shows his/her status. (To get the report, visit https://scra.dmdc.osd.mil/scra/. You will need his/her birth date or social security number to search this website.) I sent him/her a Notice re Military Dependent (form JU 11.0720) to inform him/her of dependents222 rights. S/he did not respond within 20 days claiming to be a protected military dependent. Therefore, the other party should not be considered a protected military dependent. The Notice was (check one): personally served on (date): mailed by first class mail on (date): I have personal knowledge of his/her military or dependent status (explain): Other (explain): S/he is a service member or a dependent covered by the state and/or federal Service Members222 Civil Relief Act, and in this case: has his/her own lawyer. has a lawyer appointed by the court. The court: has suspended or delayed this case. has not suspended or delayed this case. I don222t know whether (name): is a service member or a dependent covered by the state and/or federal Service Members222 Civil Relief Act. I did the following things to try to find out: I declare under penalty of perjury under the laws of the state of Washington that the foregoing is true and correct. Signed at (City), (State) on (Date). Signature of Petitioner or Lawyer/WSBA No. Print Name American LegalNet, Inc. www.FormsWorkFlow.com





