Last updated: 2/16/2018
Certificate Of Service For Chapter 13 Plan {3A}
Start Your Free Trial $ 13.99What you get:
- Instant access to fillable Microsoft Word or PDF forms.
- Minimize the risk of using outdated forms and eliminate rejected fillings.
- Largest forms database in the USA with more than 80,000 federal, state and agency forms.
- Download, edit, auto-fill multiple forms at once in MS Word using our Forms Workflow Ribbon
- Trusted by 1,000s of Attorneys and Legal Professionals
Description
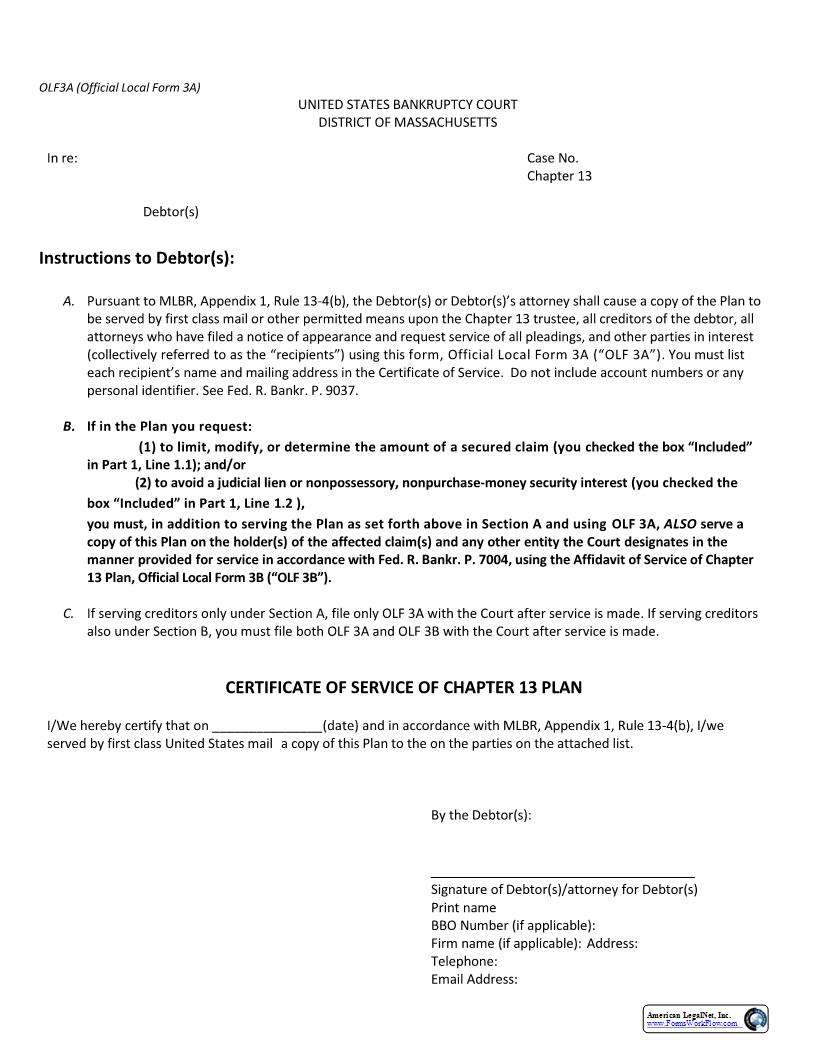
OLF3 A (O fficial Local Form 3A ) UNITED STATES BANKRUPTCY COURT DISTRICT OF MASSACHUSETTS In re: Case No. Chapter 13 Debtor(s) Instructions to Debtor(s) : A. P ursuant to MLBR, Appendix 1, Rule 13 - 4(b), the D ebtor (s) or D ebtor (s) s attorney shall cause a copy of the Plan to be served by first class mail or other permitted means upon the C hapter 13 trustee, all creditors of the debtor, all attorneys who have filed a notice of appearance and request service of all pleadings, and oth er parties in interest (collectively referred to as the using this form, Official Local Form 3A . You must list each name and mailing address in the Certificate of Service . Do not include account numbers or any personal identifier . See Fed. R. Bankr. P. 9037. B. If in the Plan you request : (1) to limit, modify, or determine the amount of a secured claim (you checked the box in Part 1, Line 1.1 ); and/ or (2) to avoid a judicial lien or nonpossessory, nonpurchase - money security interest (you checked the 1.2 ), you must , in addition to serving the Plan as set forth above in Section A and using OLF 3A , ALSO serve a copy of this Plan on the holder(s) of the affected claim(s) and any other entity the Court designates in the manner provided for service in accordance with Fed. R. Bankr. P. 7004, using the Affidavit of Service of Chapter 13 Plan , Official Local Form 3B . C. If serving creditors only under Section A , file only OLF 3A with the Court after service is made . I f serving creditors also under Section B, you must file both OLF 3 A and O LF 3B with the Court after service is made . CERTIFICATE OF SERVICE OF CHAPTER 13 PLAN I/We hereby certify that on (date) and in accordance with MLBR, Appendix 1, Rule 13 - 4(b), I/w e served by first class United States mail a copy of this Plan to the on the parties on the attached list . By the Debtor(s): Signature of Debtor(s)/attorney for Debtor(s) Print name BBO Number (if applicable): Firm name (if applicable): Address: Telephone: Email Address: American LegalNet, Inc. www.FormsWorkFlow.com





