Last updated: 1/24/2017
Standing Order Equitable Distribution {CMR-330}
Start Your Free Trial $ 5.99What you get:
- Instant access to fillable Microsoft Word or PDF forms.
- Minimize the risk of using outdated forms and eliminate rejected fillings.
- Largest forms database in the USA with more than 80,000 federal, state and agency forms.
- Download, edit, auto-fill multiple forms at once in MS Word using our Forms Workflow Ribbon
- Trusted by 1,000s of Attorneys and Legal Professionals
Description
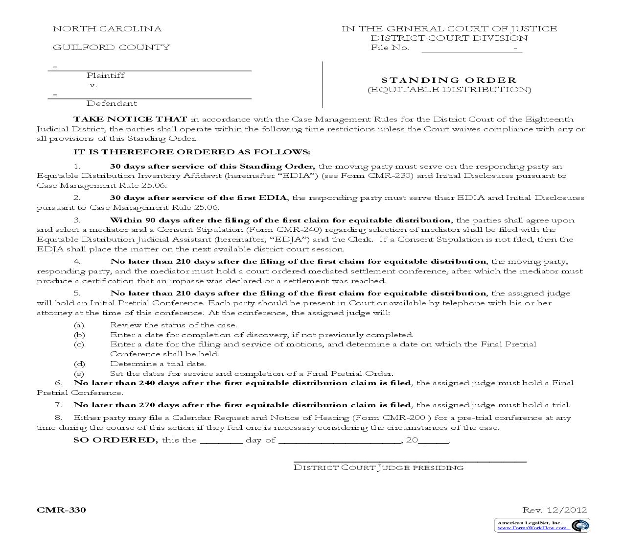
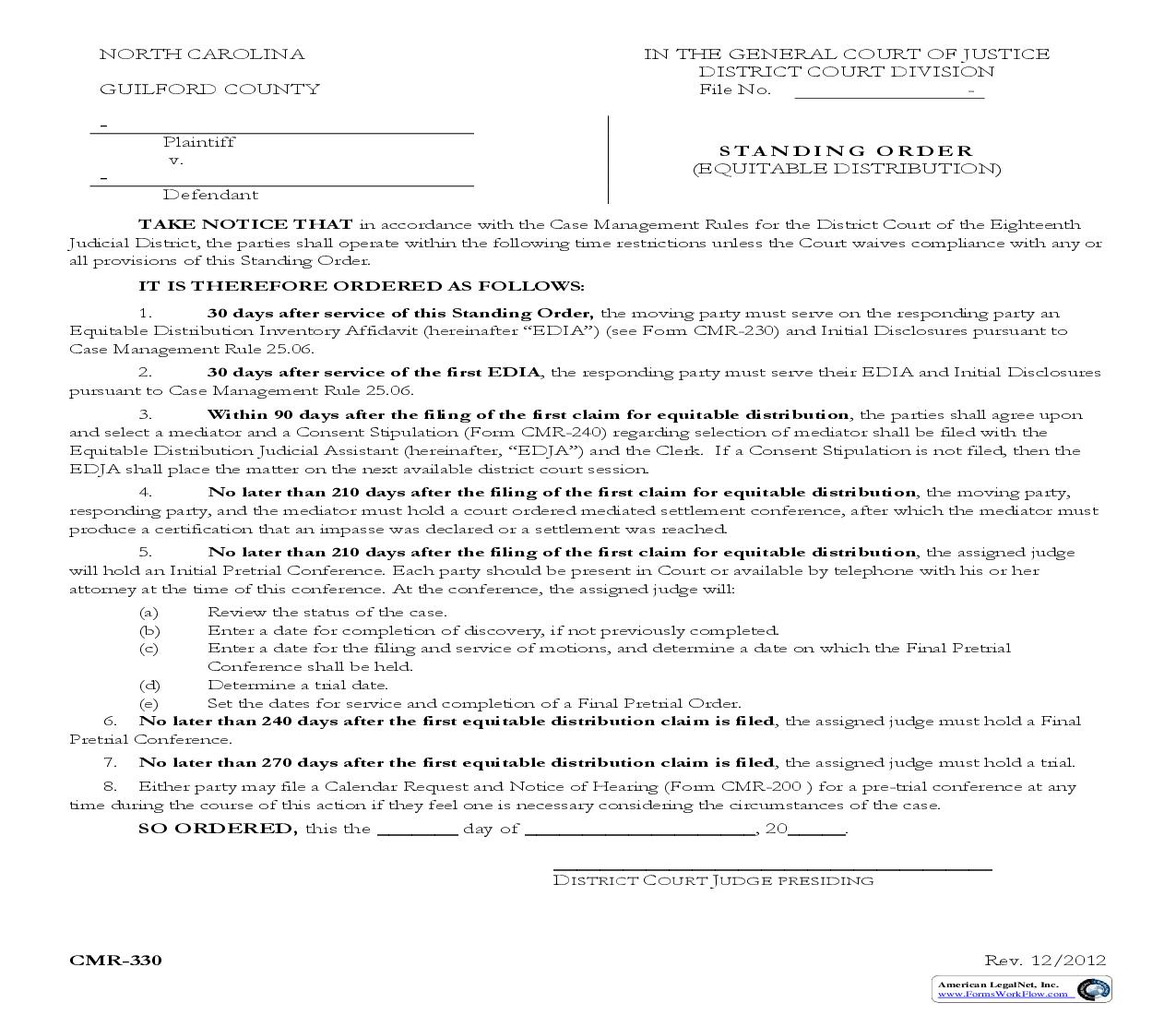
NORTH CAROLINA GUILFORD COUNTY Plaintiff v. Defendant IN THE GENERAL COURT OF JUSTICE DISTRICT COURT DIVISION File No. - STANDING ORDER (EQUITABLE DISTRIBUTION) TAKE NOTICE THAT in accordance with the Case Management Rules for the District Court of the Eighteenth Judicial District, the parties shall operate within the following time restrictions unless the Court waives compliance with any or all provisions of this Standing Order. IT IS THEREFORE ORDERED AS FOLLOWS: 1. 30 days after service of this Standing Order, the moving party must serve on the responding party an Equitable Distribution Inventory Affidavit (hereinafter "EDIA") (see Form CMR-230) and Initial Disclosures pursuant to Case Management Rule 25.06. 2. 30 days after service of the first EDIA, the responding party must serve their EDIA and Initial Disclosures pursuant to Case Management Rule 25.06. 3. Within 90 days after the filing of the first claim for equitable distribution, the parties shall agree upon and select a mediator and a Consent Stipulation (Form CMR-240) regarding selection of mediator shall be filed with the Equitable Distribution Judicial Assistant (hereinafter, "EDJA") and the Clerk. If a Consent Stipulation is not filed, then the EDJA shall place the matter on the next available district court session. 4. No later than 210 days after the filing of the first claim for equitable distribution, the moving party, responding party, and the mediator must hold a court ordered mediated settlement conference, after which the mediator must produce a certification that an impasse was declared or a settlement was reached. 5. No later than 210 days after the filing of the first claim for equitable distribution, the assigned judge will hold an Initial Pretrial Conference. Each party should be present in Court or available by telephone with his or her attorney at the time of this conference. At the conference, the assigned judge will: Review the status of the case. Enter a date for completion of discovery, if not previously completed. Enter a date for the filing and service of motions, and determine a date on which the Final Pretrial Conference shall be held. (d) Determine a trial date. (e) Set the dates for service and completion of a Final Pretrial Order. 6. No later than 240 days after the first equitable distribution claim is filed, the assigned judge must hold a Final Pretrial Conference. 7. No later than 270 days after the first equitable distribution claim is filed, the assigned judge must hold a trial. 8. Either party may file a Calendar Request and Notice of Hearing (Form CMR-200 ) for a pre-trial conference at any time during the course of this action if they feel one is necessary considering the circumstances of the case. (a) (b) (c) SO ORDERED, this the _______ day of ____________________, 20_____. ______________________________________ DISTRICT COURT JUDGE PRESIDING CMR-330 Rev. 12/2012 American LegalNet, Inc. www.FormsWorkFlow.com





