Last updated: 2/12/2019
Order Approving Disclosure Statement {LBF 3017-1B}
Start Your Free Trial $ 13.99What you get:
- Instant access to fillable Microsoft Word or PDF forms.
- Minimize the risk of using outdated forms and eliminate rejected fillings.
- Largest forms database in the USA with more than 80,000 federal, state and agency forms.
- Download, edit, auto-fill multiple forms at once in MS Word using our Forms Workflow Ribbon
- Trusted by 1,000s of Attorneys and Legal Professionals
Description
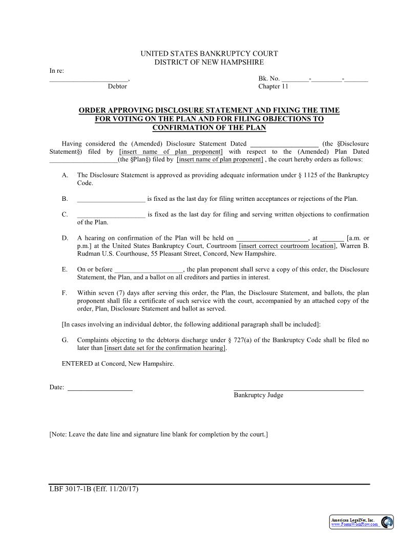
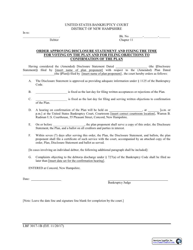
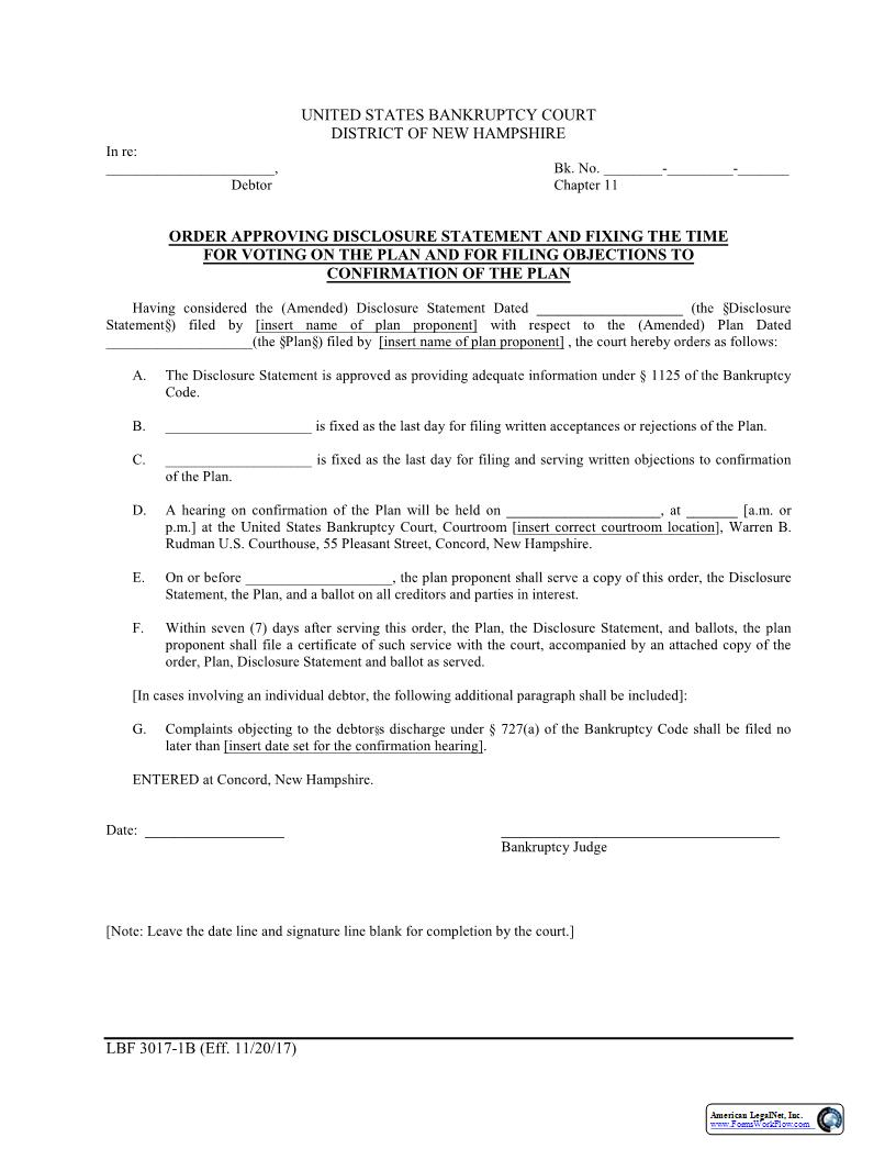
UNITED STATES BANKRUPTCY COURT DISTRICT OF NEW HAMPSHIRE In re: , Bk. No. -- Debtor Chapter 11 ORDER APPROVING DISCLOSURE STATEMENT AND FIXING THE TIME FOR VOTING ON THE PLAN AND FOR FILING OBJECTIONS TO CONFIRMATION OF THE PLAN Having considered the (Amended) Disclosure Statement Dated (the 223Disclosure Statement224) filed by [insert name of plan proponent] with respect to the (Amended) Plan Dated (the 223Plan224) filed by [insert name of plan proponent] , the court hereby orders as follows: A. The Disclosure Statement is approved as providing adequate information under 247 1125 of the Bankruptcy Code. B. is fixed as the last day for filing written acceptances or rejections of the Plan. C. is fixed as the last day for filing and serving written objections to confirmation of the Plan. D. A hearing on confirmation of the Plan will be held on , at [a.m. or p.m.] at the United States Bankruptcy Court, Courtroom [insert correct courtroom location], Warren B. Rudman U.S. Courthouse, 55 Pleasant Street, Concord, New Hampshire. E. On or before , the plan proponent shall serve a copy of this order, the Disclosure Statement, the Plan, and a ballot on all creditors and parties in interest. F. Within seven (7) days after serving this order, the Plan, the Disclosure Statement, and ballots, the plan proponent shall file a certificate of such service with the court, accompanied by an attached copy of the order, Plan, Disclosure Statement and ballot as served. [In cases involving an individual debtor, the following additional paragraph shall be included]: G. Complaints objecting to the debtor222s discharge under 247 727(a) of the Bankruptcy Code shall be filed no later than [insert date set for the confirmation hearing]. ENTERED at Concord, New Hampshire. Date: Bankruptcy Judge [Note: Leave the date line and signature line blank for completion by the court.] LBF 3017-1B (Eff. 11/20/17) American LegalNet, Inc. www.FormsWorkFlow.com





