Last updated: 4/26/2013
Affidavit of Postponement {60.8.1}
Start Your Free Trial $ 13.99What you get:
- Instant access to fillable Microsoft Word or PDF forms.
- Minimize the risk of using outdated forms and eliminate rejected fillings.
- Largest forms database in the USA with more than 80,000 federal, state and agency forms.
- Download, edit, auto-fill multiple forms at once in MS Word using our Forms Workflow Ribbon
- Trusted by 1,000s of Attorneys and Legal Professionals
Description
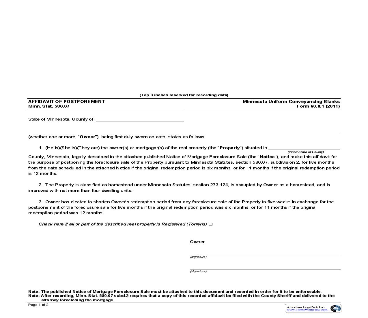
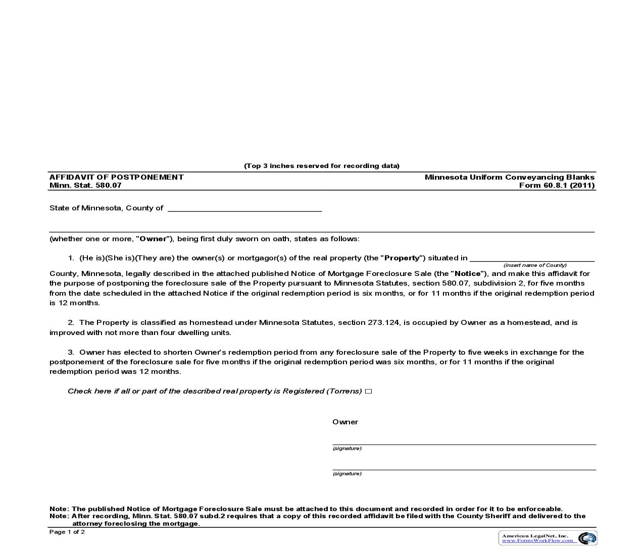
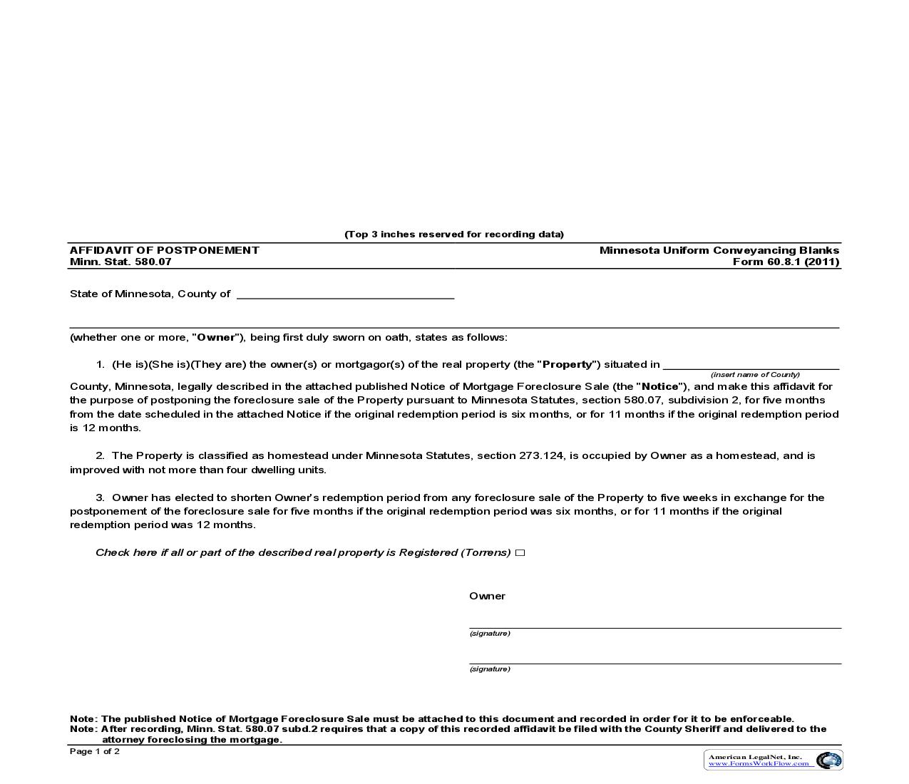
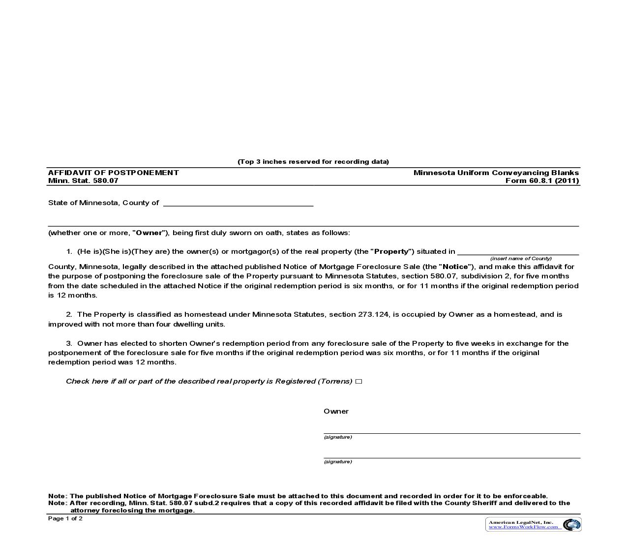
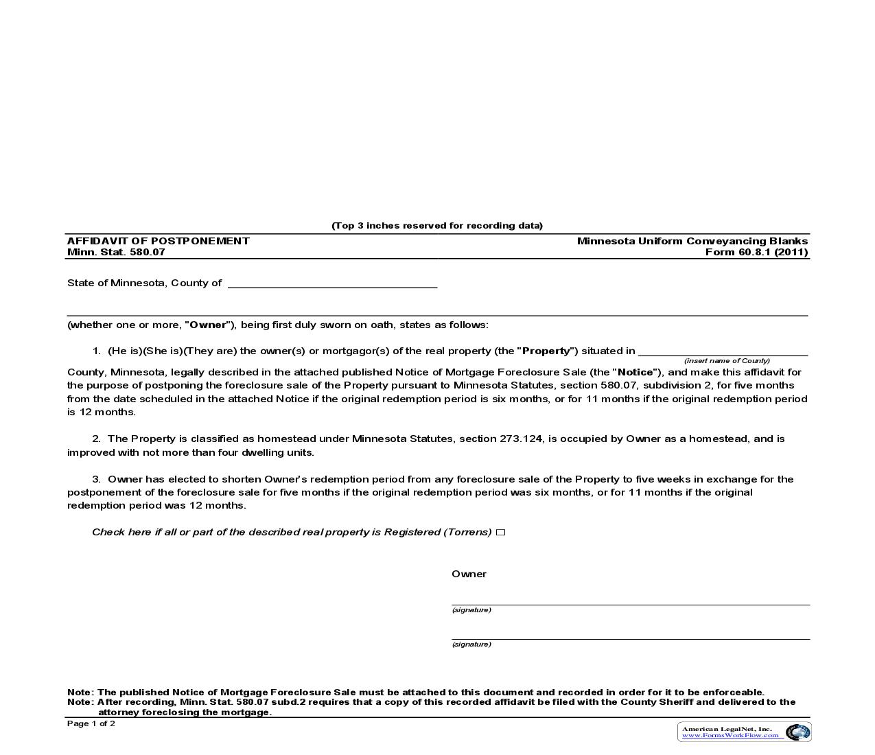
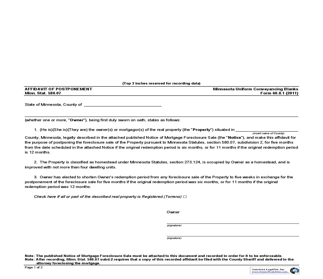
(Top 3 inches reserved for recording data) AFFIDAVIT OF POSTPONEMENT Minn. Stat. 580.07 State of Minnesota, County of Minnesota Uniform Conveyancing Blanks Form 60.8.1 (2011) (whether one or more, "Owner"), being first duly sworn on oath, states as follows: 1. (He is)(She is)(They are) the owner(s) or mortgagor(s) of the real property (the "Property") situated in (insert name of County) County, Minnesota, legally described in the attached published Notice of Mortgage Foreclosure Sale (the "Notice"), and make this affidavit for the purpose of postponing the foreclosure sale of the Property pursuant to Minnesota Statutes, section 580.07, subdivision 2, for five months from the date scheduled in the attached Notice if the original redemption period is six months, or for 11 months if the original redemption period is 12 months. 2. The Property is classified as homestead under Minnesota Statutes, section 273.124, is occupied by Owner as a homestead, and is improved with not more than four dwelling units. 3. Owner has elected to shorten Owner's redemption period from any foreclosure sale of the Property to five weeks in exchange for the postponement of the foreclosure sale for five months if the original redemption period was six months, or for 11 months if the original redemption period was 12 months. Check here if all or part of the described real property is Registered (Torrens) Owner (signature) (signature) Note: The published Notice of Mortgage Foreclosure Sale must be attached to this document and recorded in order for it to be enforceable. Note: After recording, Minn. Stat. 580.07 subd.2 requires that a copy of this recorded affidavit be filed with the County Sheriff and delivered to the attorney foreclosing the mortgage. Page 1 of 2 American LegalNet, Inc. www.FormsWorkFlow.com Page 2 of 2 Minnesota Uniform Conveyancing Blanks Form 60.8.1 Signed and sworn to before me on (month/day/year) , by (insert name(s) of person(s) making statement) . (Stamp) (signature of notarial officer) Title (and Rank): My commission expires: (month/day/year) THIS INSTRUMENT WAS DRAFTED BY: (insert name and address) American LegalNet, Inc. www.FormsWorkFlow.com





